Figure 7
From: Simulations of Protein Adsorption on Nanostructured Surfaces

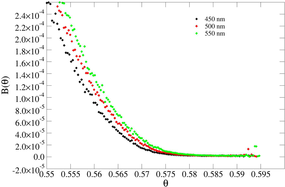
Blocking function of spikes using different heights at fixed width (60 nm). The isolated points are due to fluctuations in the statistical sampling.
From: Simulations of Protein Adsorption on Nanostructured Surfaces

Blocking function of spikes using different heights at fixed width (60 nm). The isolated points are due to fluctuations in the statistical sampling.