Figure 9
From: Simulations of Protein Adsorption on Nanostructured Surfaces

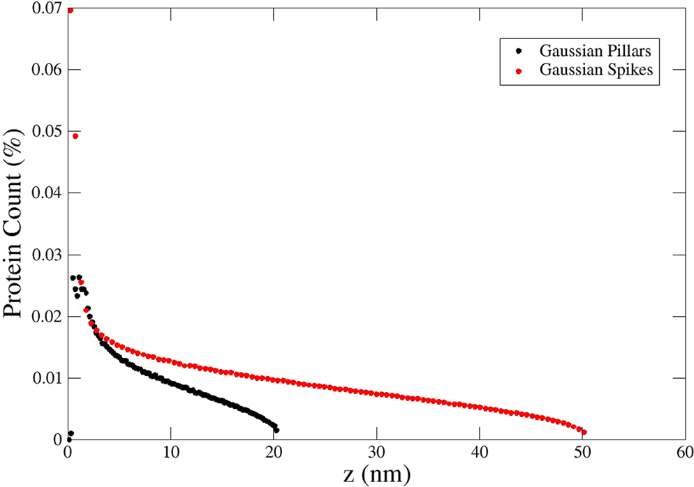
Vertical distribution of proteins for Gaussian pillars with W = 80 nm and H = 200 nm, and for Gaussian spikes with W = 60 nm and H = 500 nm. The number of proteins adsorbing on the bottom of the pillars is clearly much greater than that on the top of the pillars, a consequence of lower surface availability. The discontinuity in the left-hand side figure is a simple consequence of the definition of the shape, Eq. 4.