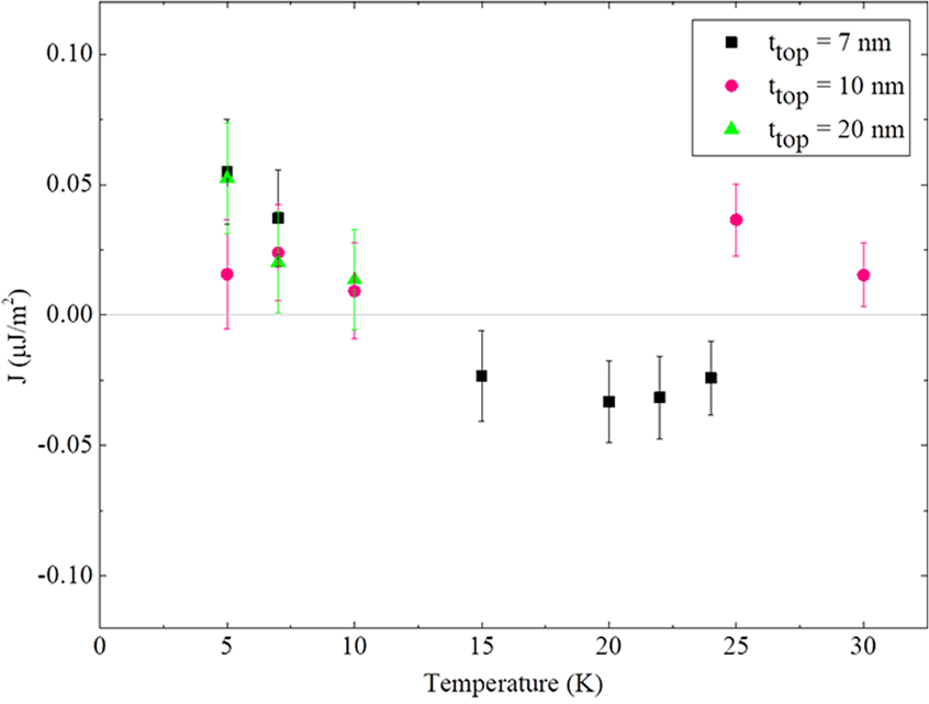
Figure 7

Temperature dependence of IEC strength for the three samples. The data obtained from 20 nm, 10 nm, and 7 nm samples are plotted with green triangles, pink circles, and black squares, respectively. Note that the sign change of J for the 7 nm sample with increasing temperature indicates conversion of IEC from FM to AFM in this sample.