Figure 1
From: A novel assay for detection and quantification of C-mannosyl tryptophan in normal or diabetic mice

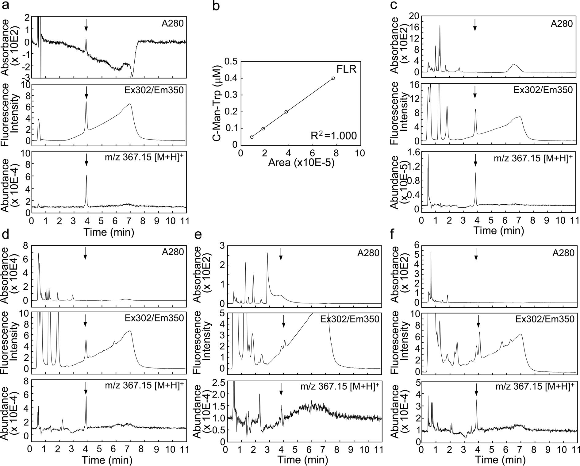
Detection and quantification of C-Man-Trp. Samples were prepared by organic solvent extraction followed by centrifugation, and applied to UPLC as described in Materials and Methods. (a) The assay profiles of HILIC to determine C-Man-Trp. Chromatograms of chemically synthesized C-Man-Trp monitored by measuring the absorbance at 280 nm (upper), the fluorescence (excitation at 302 nm/emission at 350 nm) (middle), and the mass abundance at an m/z value of 367.15 [M + H]+ (lower). Arrows show the retention time corresponding to C-Man-Trp. (b) Calibration curve of C-Man-Trp based on chemically synthesized C-Man-Trp. C-Man-Trp was quantified by measuring the fluorescence intensity (FLR) as described in Materials and Methods. Mouse tissue samples were prepared and applied to UPLC. C-Man-Trp was measured by HILIC in the samples of mouse brain (c), liver (d), plasma (e), and urine (f).