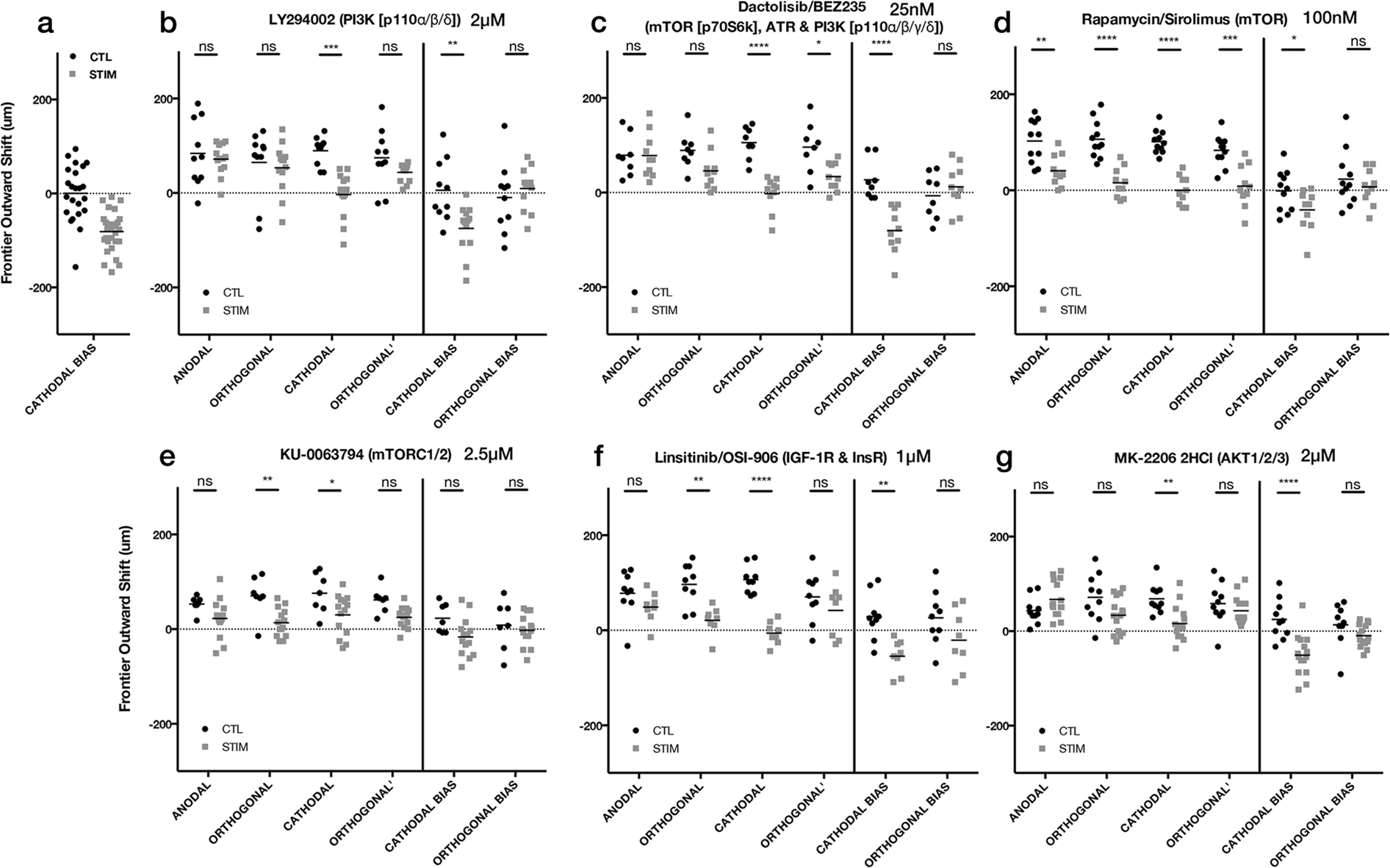
Figure 6
From: Electrotaxis of Glioblastoma and Medulloblastoma Spheroidal Aggregates

Effect of PI3K/mTOR/IGF/AKT inhibitors on DAOY spheroidal aggregates undergoing electrotaxis. 24 h hours after dcEF (stim) or controls without dcEF (CTL) (a) 24 h DAOY data without inhibitor compounds, redisplayed from Fig. 3b. (b) LY294002 (2 μM) ***p = 0.0003, **p = 0.0020 (CTL, n = 10; STIM, n = 13); (c) BEZ235 (25 nM) *p = 0.0112, ****p < 0.0001 (CTL, n = 8; STIM, n = 10); (d) Rapamycin (100 nM) **p = 0.0014, *p = 0.00465, ****p < 0.0001 (CTL, n = 11; STIM, n = 10); (e) KU-0063794 (2.5 μM) **p = 0.0057, *p = 0.0351 (CTL, n = 7; STIM, n = 14); (f) OSI-906 (1 μM) **p = 0.0034 (orthogonal), **p = 0.0013 (cathodal bias), ****p < 0.0001 (CTL, n = 9; STIM, n = 8); (g) MK-2206 (2 μM) **p = 0.0040, ****p < 0.0001 (CTL, n = 10; STIM, n = 15); ns = not significant; Two-way ANOVA, Holm-Sidak post-hoc.