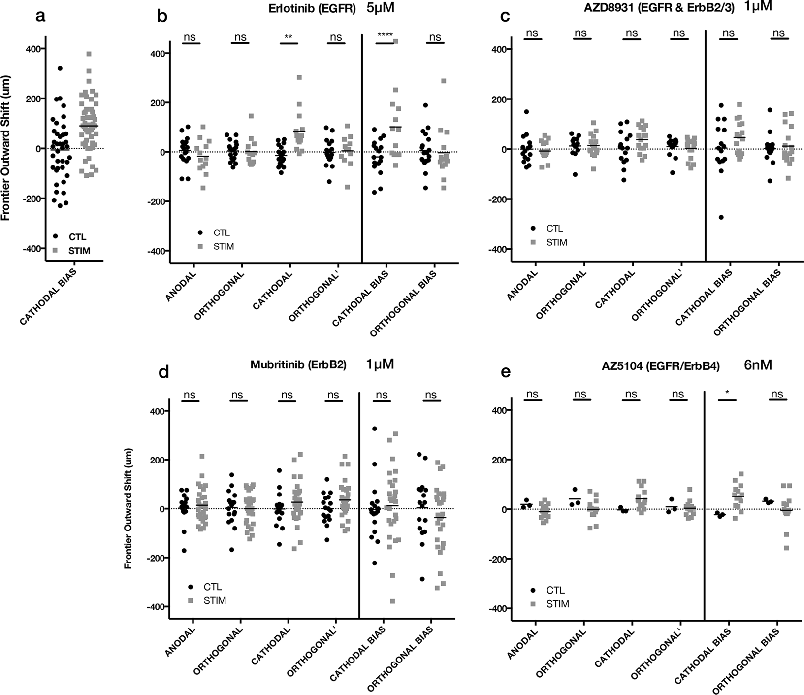
Figure 8
From: Electrotaxis of Glioblastoma and Medulloblastoma Spheroidal Aggregates

Effect of ErbB inhibitors on U87 mg spheroidal aggregates undergoing electrotaxis. 24 h hours after dcEF (stim) or controls without dcEF (CTL). (a) U87 mg data without inhibitor compounds, redisplayed from Fig. 2d. (b) Erlotinib (5 μM) **p = 0.0016, ****p < 0.0001 (CTL, n = 18; STIM, n = 13); (c) AZD6931 (1 μM). (CTL, n = 15; STIM, n = 16); (d) Mubritinib (1 μM).(CTL, n = 17; STIM, n = 29); (e) AZ5104 (6 nM) *p = 0.0386 (CTL, n = 3; STIM, n = 14); ns = not significant; Two-way ANOVA, Holm-Sidak post-hoc.