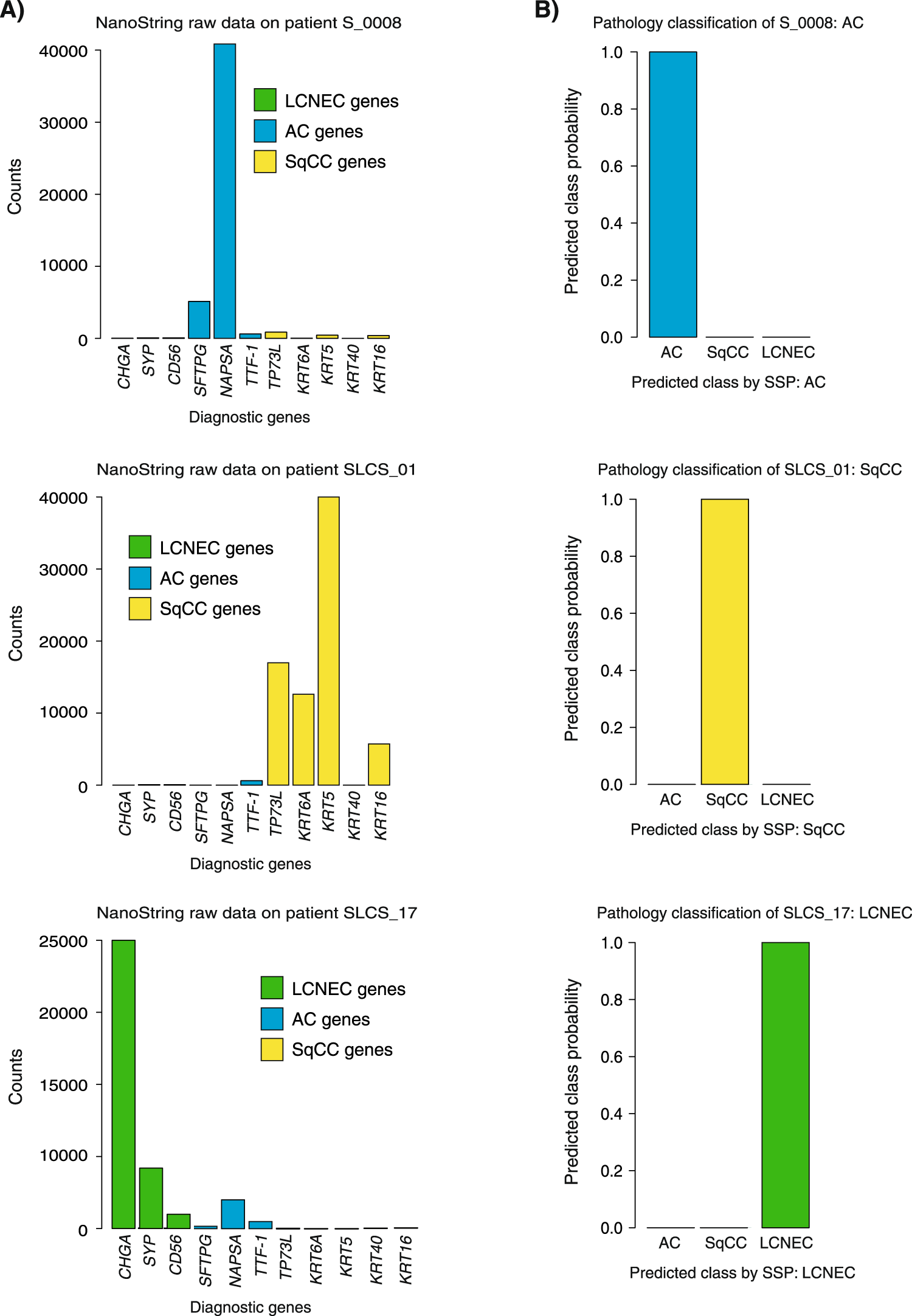
Figure 4

Examples of SSP classification. (A) SSP classification of three individual tumors corresponding to three major subtypes of NSCLC is based on expression of genes associated with AC histology (SFTPG, TTF-1, NAPSA), SqCC histology (TP73L, KRT6A, KRT5, KRT40, and KRT16) or LCNEC histology (CHGA, SYP, and CD56). (B) The SSP classifies these three individual tumors with high probability rates in concordance with the histopathological assessment of histology.