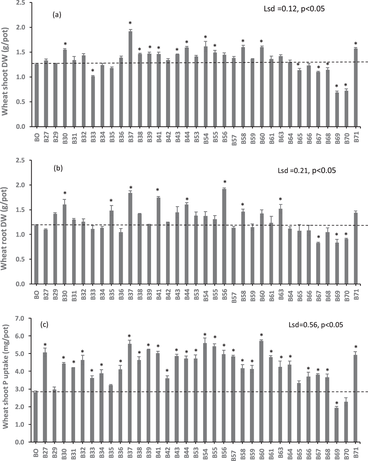
Figure 3

The effect of biochars on (a) shoot DW, (b) root DW, and (c) P uptake of wheat after eight weeks of growth. Bar bigger than control (B0) with an asterisk (*) indicate increase but bar smaller than the control with an asterisk (*) indicate decrease. Bars do not have an asterisk do not differ.