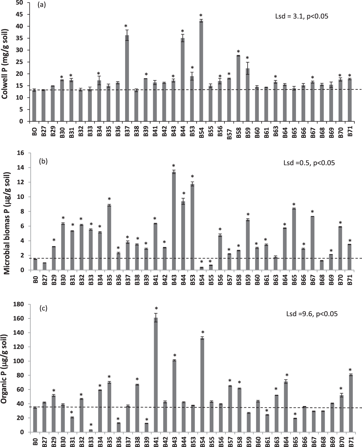
Figure 4

The effect of biochars sources on (a) inorganic Colwell P (lsd = 3.1, p < 0.05), (b) microbial biomass P (lsd = 0.5, p < 0.05) and (c) organic P (lsd = 9.6, p < 0.05) in soil after 8 weeks of growth. Bar bigger than control (B0) with an asterisk (*) indicate increase but bar smaller than the control with an asterisk (*) indicate decrease. Bars do not have an asterisk do not differ.