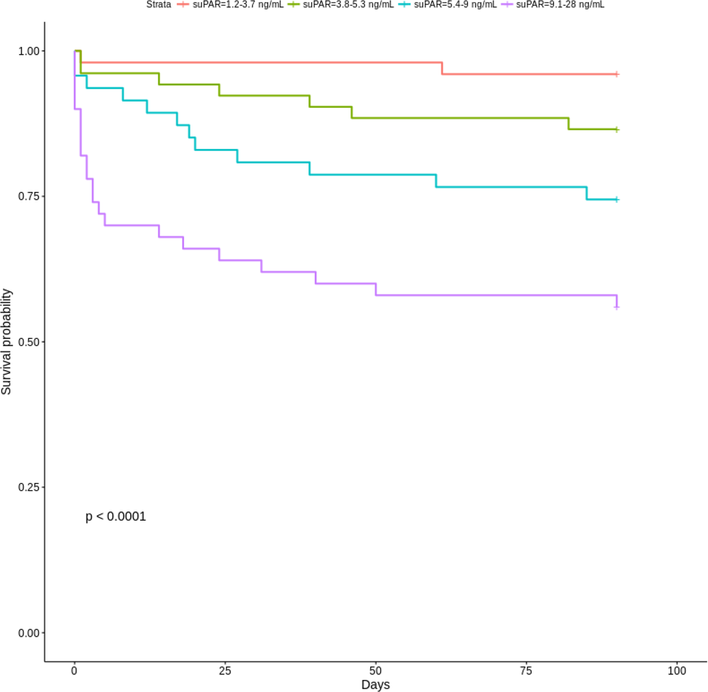
Figure 4

Kaplan-Meier curves of 90-day mortality in NSTI patients stratified by plasma suPAR quartiles. P-value is for the log-rank test. NSTI, necrotizing soft tissue infections; SuPAR, soluble urokinase-type plasminogen activator receptor.

Kaplan-Meier curves of 90-day mortality in NSTI patients stratified by plasma suPAR quartiles. P-value is for the log-rank test. NSTI, necrotizing soft tissue infections; SuPAR, soluble urokinase-type plasminogen activator receptor.