Figure 4
From: Environmental interactions are regulated by temperature in Burkholderia seminalis TC3.4.2R3

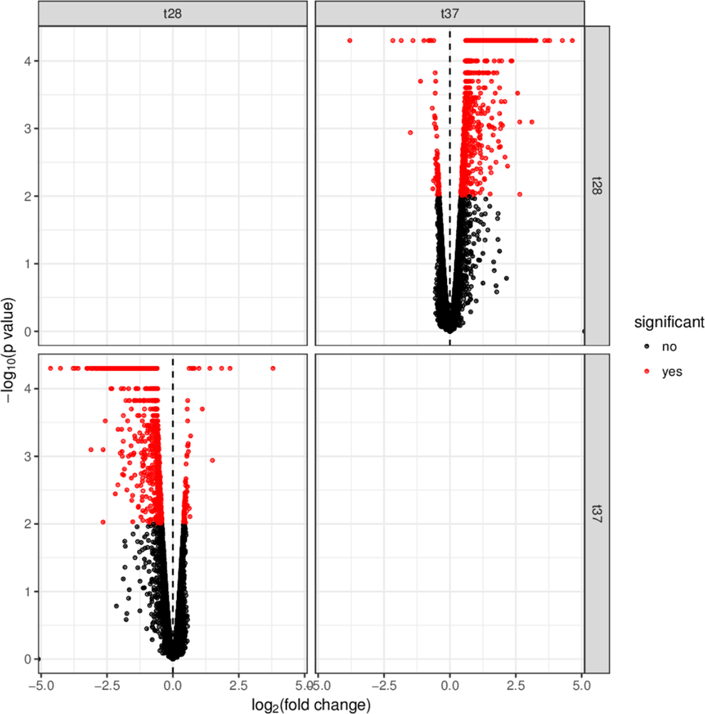
Results of the transcriptome analyses. Volcano scatter plot of log2 fold-change (FC) vs adjusted P-values (−log10) of B. seminalis grown at 28 °C vs 37 °C.