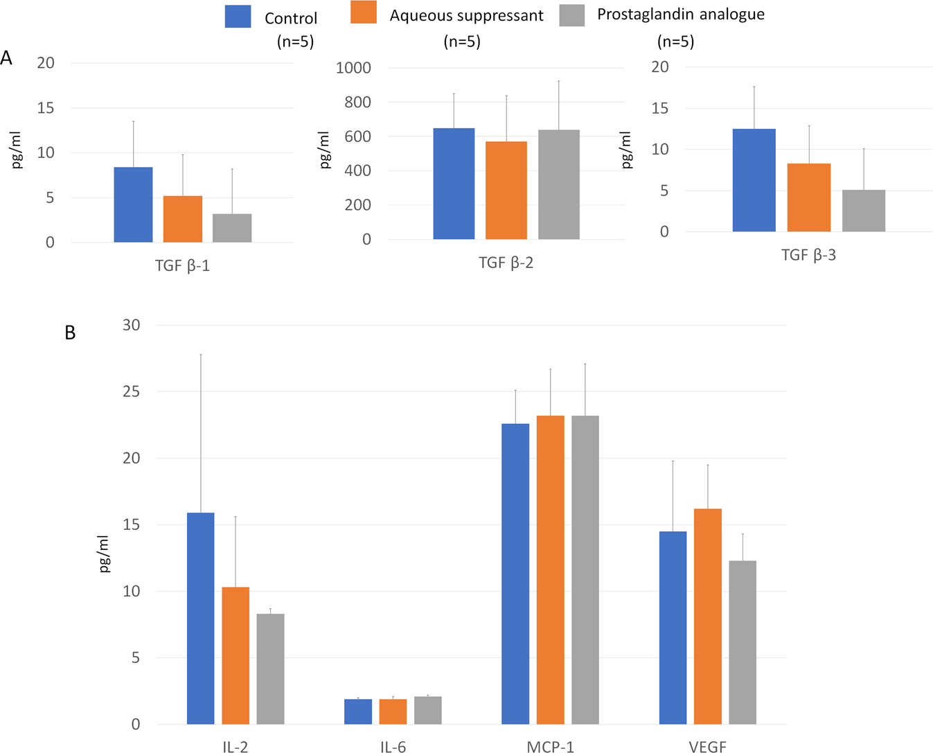
Figure 3

Cytokine levels of the aqueous humour of non-operated eyes. (A) Transforming growth factor (TGF) β-1, -2, and -3 levels, (B) Interleukin (IL)-2, IL-6, macrophage chemotactic protein-1 (MCP-1), and vascular endothelial growth factor (VEGF) did not significantly differ between the aqueous suppressant, prostaglandin analogue, and normal saline treatment groups (all P > 0.05).