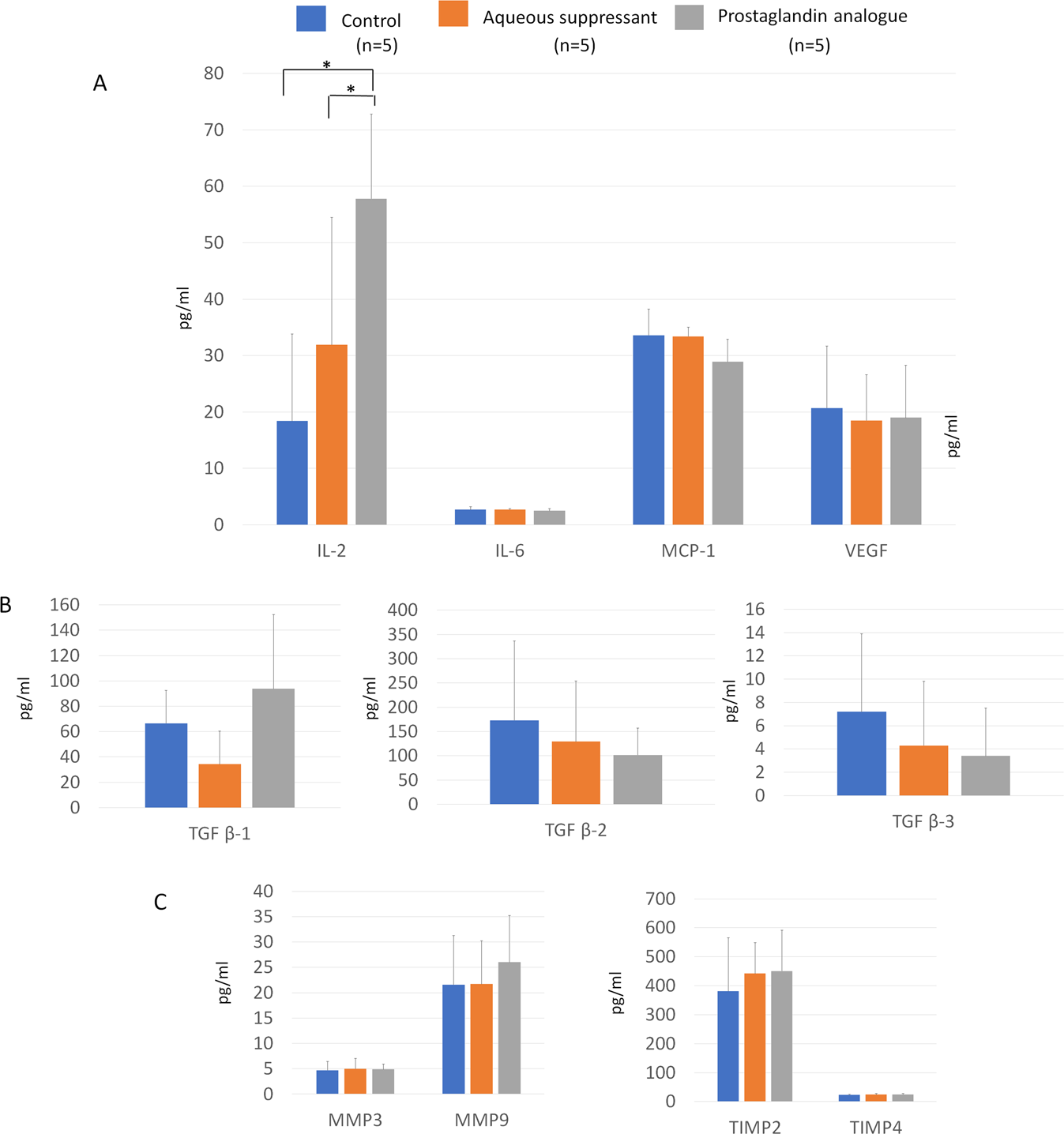
Figure 4

Cytokine levels of Tenon’s tissue in non-operated eyes. (A) Interleukin (IL)-2 level was higher in the prostaglandin (PG) group than in the control and aqueous suppressant groups (P = 0.006). (A) IL-6, macrophage chemotactic protein-1 (MCP-1), vascular endothelial growth factor (VEGF), (B) transforming growth factor (TGF) β-1, -2, and -3, (C) matrix metalloproteinase (MMP)-3 and -9 and tissue inhibitor of metalloproteinase (TIMP)-2 and -4 levels did not vary among the three groups (all P > 0.05).