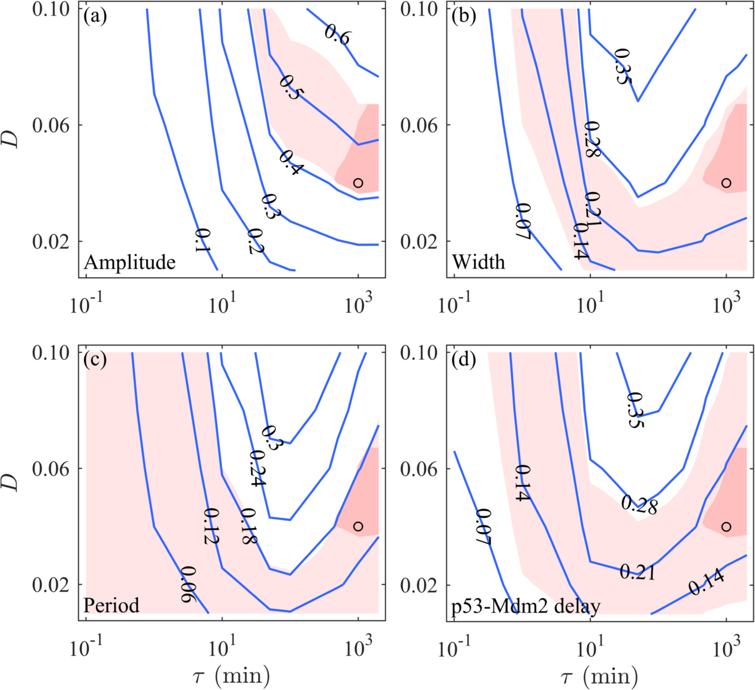
Figure 7
From: Roles of cellular heterogeneity, intrinsic and extrinsic noise in variability of p53 oscillation

Estimation of the values of D and τ. Contour maps of D versus τ for the amplitude (a), width (b), period (c) and p53-Mdm2 delay (d) in the presence of only colored noise. Blue curves are specified by the values of CVs. The black circles denote the case with D = 0.04 and τ = 103 min. In each case, 1000 runs of stochastic simulations lasting 3000 min are performed. The axis of τ is on logarithmic scale.