Figure 1
From: Yang’s Classification of Juvenile TMJ Anterior Disc Displacement Contributing to Treatment protocols

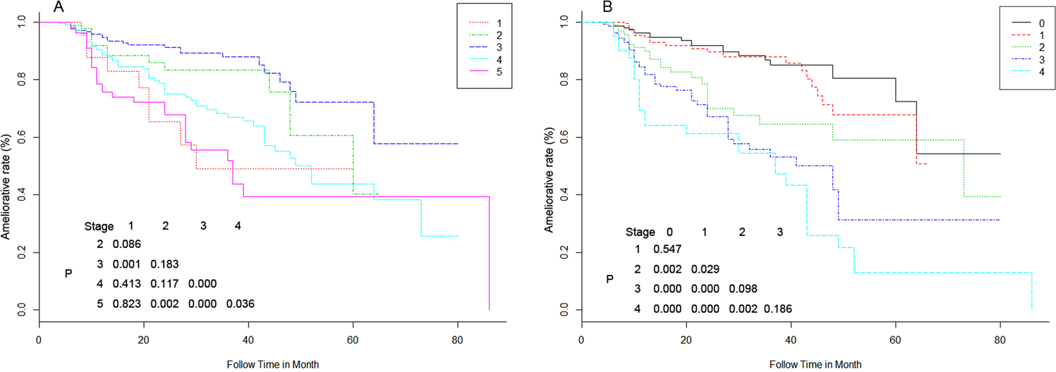
Kaplan–Meier survival curves by patient subtype with different staging systems. Overall ameliorative curves of subgroups of patients with both staging systems (X: Ameliorative rate (%); Y: Follow time in month). (A) The ameliorative curves of subgroups of patients with Wilkes staging. (B) The ameliorative curves of subgroups of patients with our staging system.