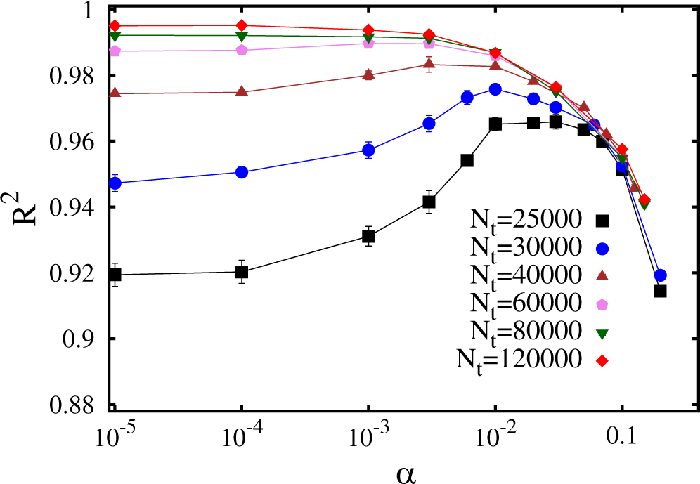
Figure 4
From: Supervised machine learning of ultracold atoms with speckle disorder

Coefficient of determination R2 as a function of the regularization parameter α. The different datasets correspond to different training set sizes Nt. The neural network has Nl = 3 layers and Nn = 150 neurons per layer.