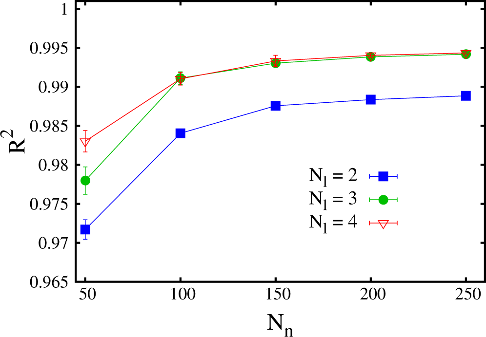
Figure 7
From: Supervised machine learning of ultracold atoms with speckle disorder

Coefficient of determination R2 for the prediction of ground state energy levels, as a function of the number of neurons per layer Nn. The three datasets correspond to different numbers of layers Nl.