Figure 4
From: In situ response of Antarctic under-ice primary producers to experimentally altered pH

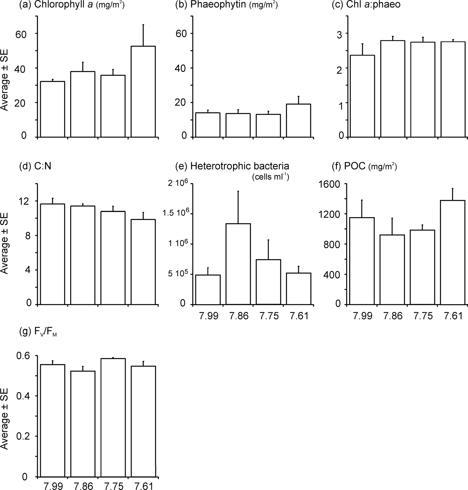
Characteristics of the sea ice matrix associated with the microalgal assemblage at the end of the experiment. POC = particulate organic carbon.
From: In situ response of Antarctic under-ice primary producers to experimentally altered pH

Characteristics of the sea ice matrix associated with the microalgal assemblage at the end of the experiment. POC = particulate organic carbon.