Figure 1
From: Simple fluorometric-based assay of antibiotic effectiveness for Acinetobacter baumannii biofilms

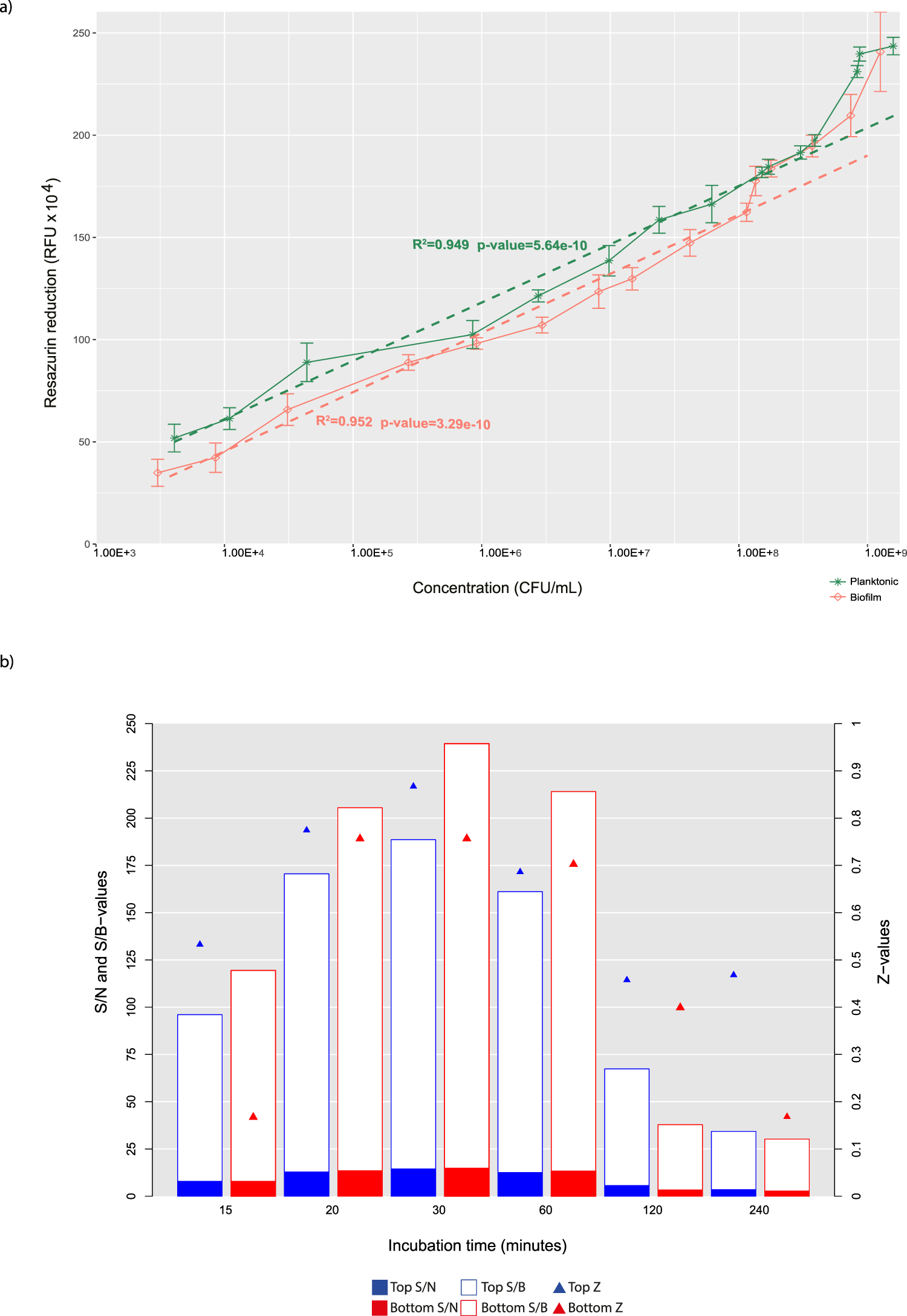
(a) Relationship between PrestoBlue reduction (in relative fluorescence units, RFU) and bacterial concentration (in colony forming units or CFU/mL) measured for planktonic bacteria and biofilms. (b) Robustness of the incubation time with PrestoBlue on the antimicrobial susceptibility assay performance, as measured by signal window coefficient, Z′-factor; signal-to-noise (S/N), and signal-to-background (S/B) ratios.