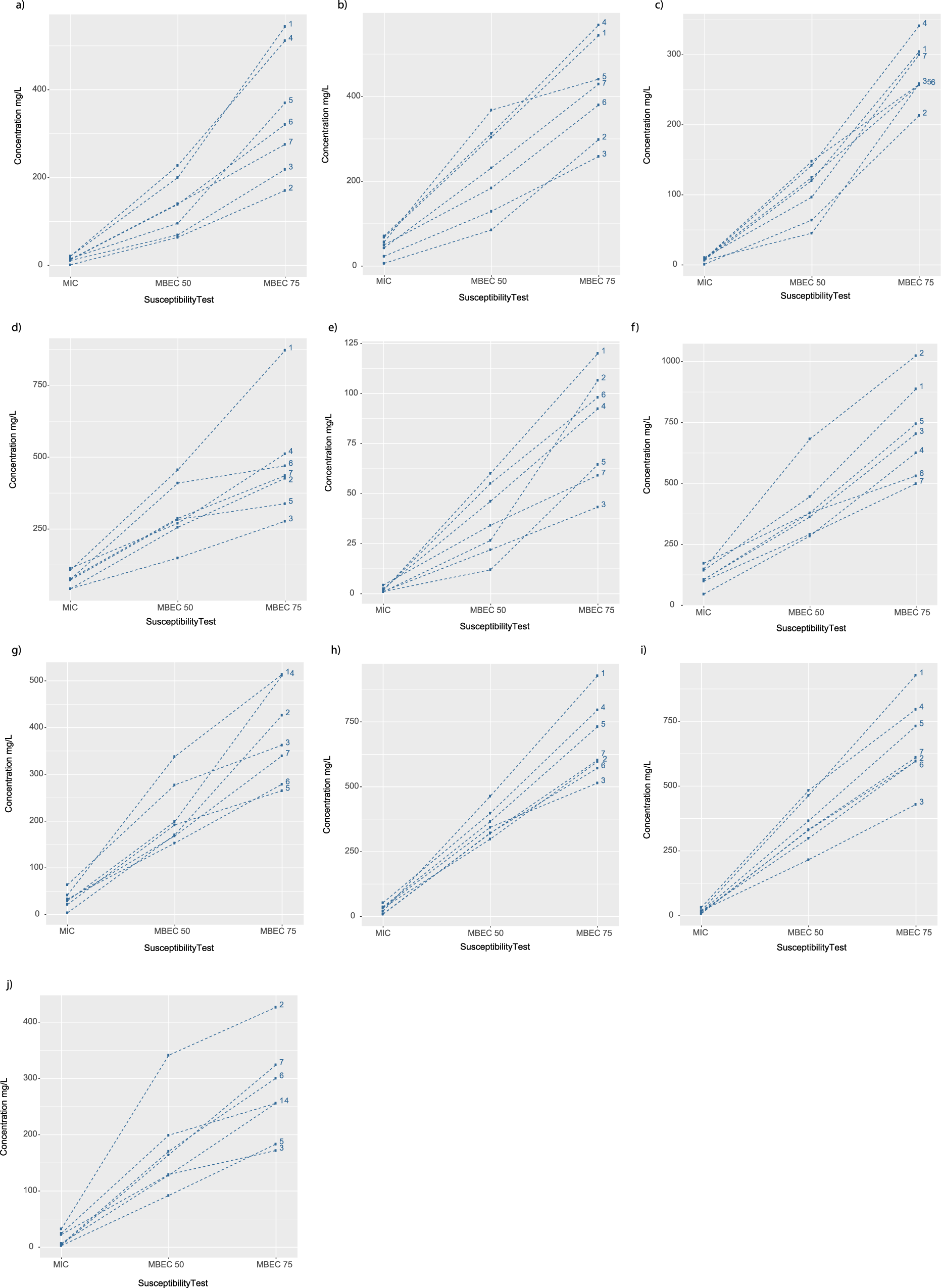
Figure 5
From: Simple fluorometric-based assay of antibiotic effectiveness for Acinetobacter baumannii biofilms

Association between the type of A. baumannii clinical isolate sample (1, urine; 2, nasal swabs; 3, tissue; 4, broncho–alveolar aspirates; 5, wound pus; 6, endotracheal aspirates; and 7, sputum) and susceptibility to 10 antibiotics. (a) gentamicin, (b) amikacin, (c) ciprofloxacin, (d) ceftriaxone, (e) colistin, (f) fosfomycin, (g) ceftazidime, (h) imipenem, (i) meropenem, and (j) sulbactam.