Figure 6
From: Simple fluorometric-based assay of antibiotic effectiveness for Acinetobacter baumannii biofilms

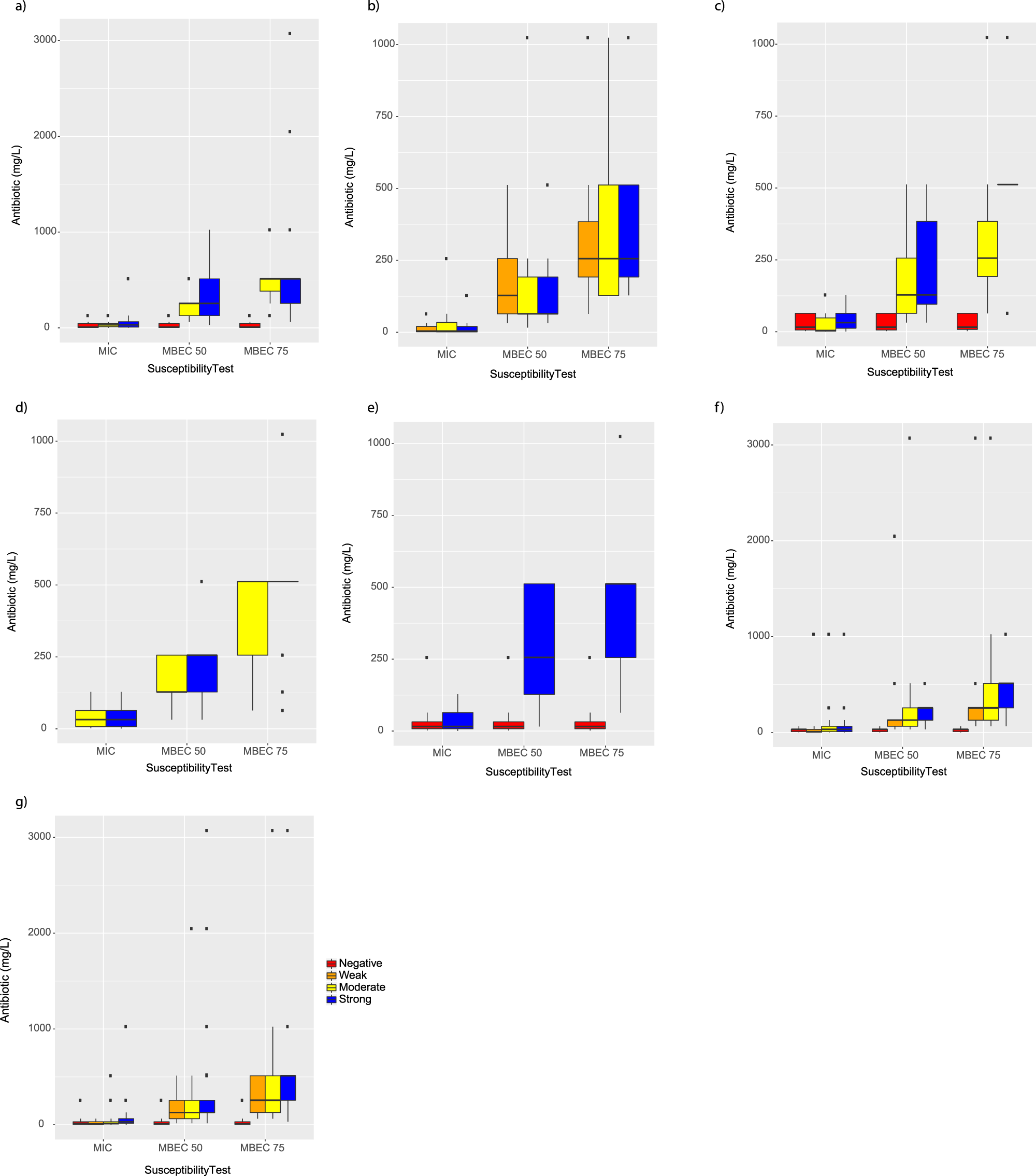
Relationship between susceptibility test results, biofilm formation (negative, weak, moderate, or strong) and type of clinical sample (1, urine; 2, nasal swab; 3, tissue; 4-broncho–alveolar aspirate; 5, wound pus; 6, endotracheal aspirates; and 7, sputum).