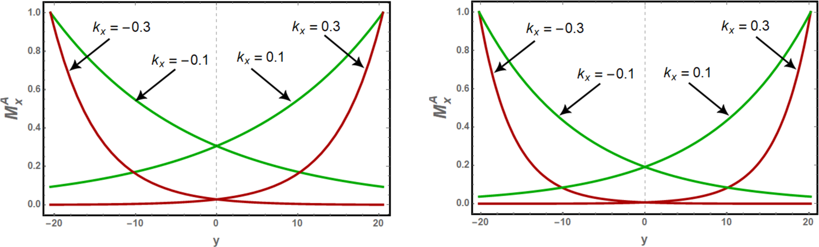
Figure 3

The spatial variation of the normalized amplitude \({M}_{x}^{A}\) of the asymmetric edge spin waves along the width of the isotropic nanoribbon for zigzag (left) and bearded (right) edge boundaries. The d half widths are respectively \(71/(2\surd 3)\approx 20.50\) and \(70/(2\surd 3)\approx 20.21\) for the respective nanoribbon types. The curves are plotted for selected values of kx.