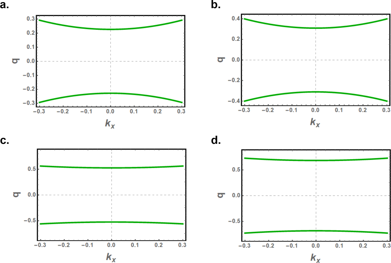
Figure 6

The q factors as a function of the continuous wavevector kx for zigzag edged (a,c) and bearded edged (b,d) nanoribbons, with magnetic anisotropies γ = 1.01 (a,b) and γ = 1.04 (c,d). The nanoribbon half-width d is \(71/(2\sqrt{3})\) and \(70/(2\sqrt{3})\) for nanoribbons with zigzag and bearded edge boundaries, respectively.