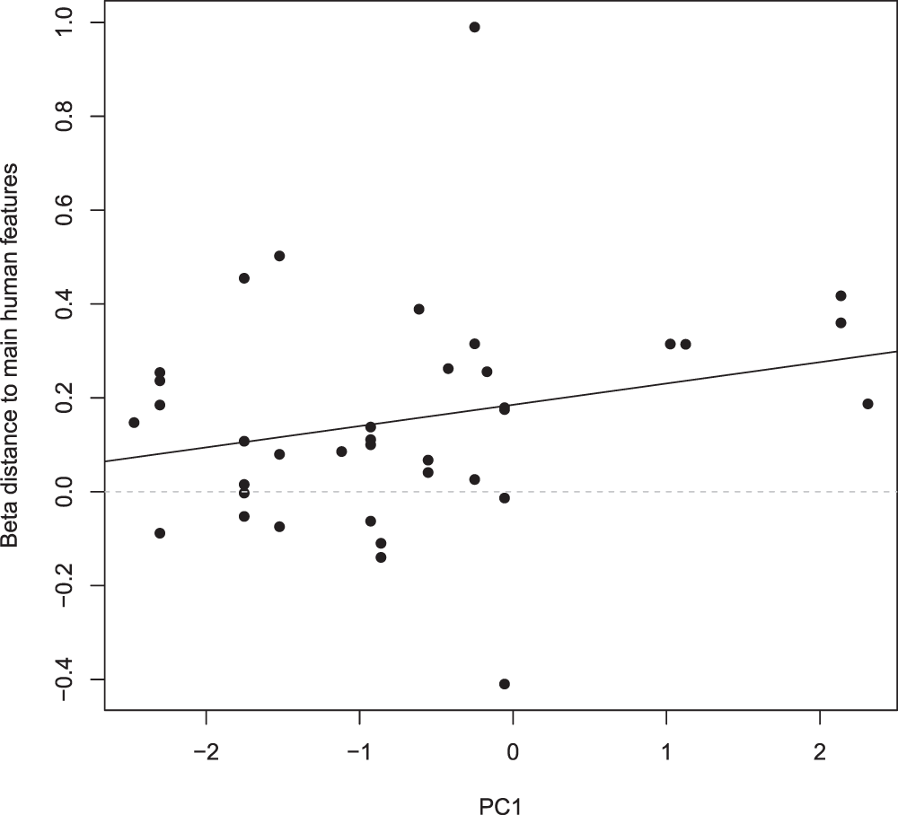
Figure 5

Relationships between the wolf pair behavior towards the “Distance to main human features” variable (excluding secondary roads) for GPS locations of the studied wolves while traveling in their adult home range in central Scandinavia from 2001–2015 and their exposure to anthropogenic influence in the natal territory (PC1, positive and negative values denote high and low degree of anthropogenic influence, respectively). A positive beta suggests avoidance of areas close to human features (i.e. human feature is a distance covariate, which denotes selection for areas far from human features).