Figure 4
From: A phase II study of ENMD-2076 in advanced soft tissue sarcoma (STS)

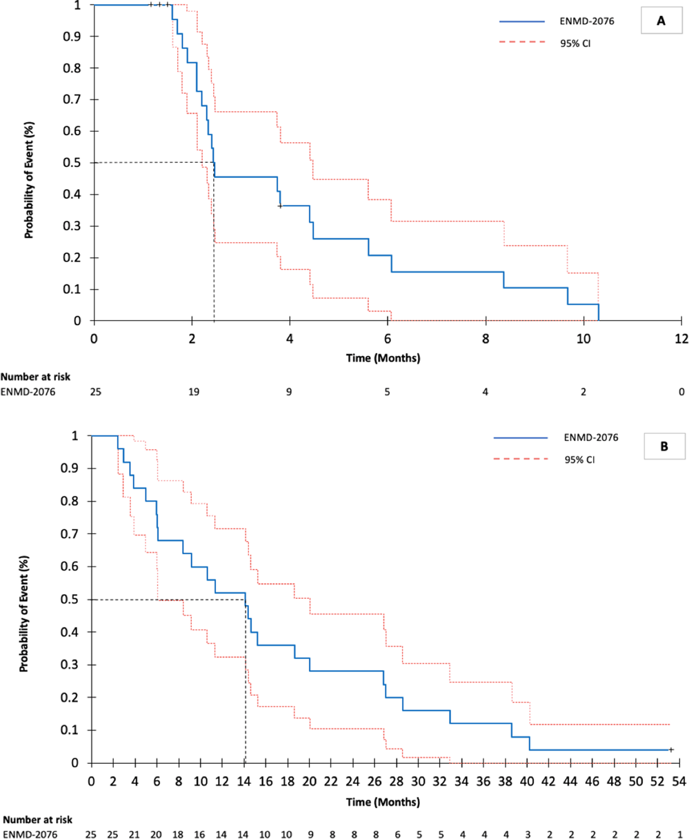
Kaplan-Meier survival curves for patient PFS (A) and OS (B) Abbreviations: 95% CI, 95% confidence intervals.
From: A phase II study of ENMD-2076 in advanced soft tissue sarcoma (STS)

Kaplan-Meier survival curves for patient PFS (A) and OS (B) Abbreviations: 95% CI, 95% confidence intervals.