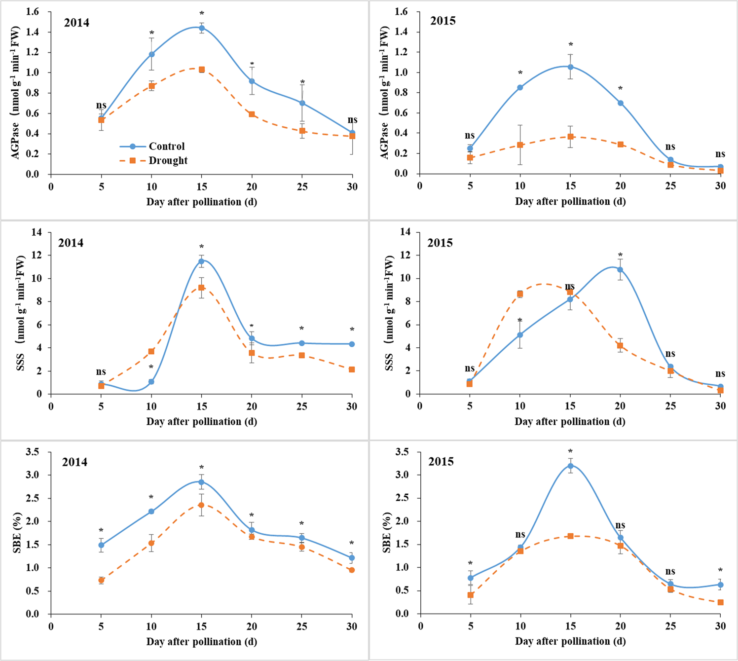
Figure 4

Grain AGPase, SSS, and SBE activities under control and water deficit conditions. Bars are standard errors of three replicates. *Significant at p < 0.05 level; ns, not significant.

Grain AGPase, SSS, and SBE activities under control and water deficit conditions. Bars are standard errors of three replicates. *Significant at p < 0.05 level; ns, not significant.