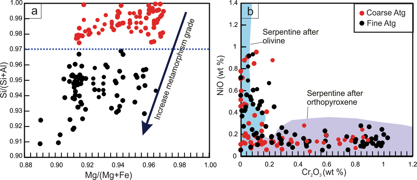
Figure 2

Mineral chemistry of antigorites from the studied samples. (a) Si/ (Si + Al) vs. Mg/ (Mg + Fe). The variation of Mg/ (Mg + Fe) indicates different bulk chemistry of the rocks while the variation of Si/ (Si + Al) is due to increase in the metamorphic grade. (b) NiO vs. Cr2O3 (wt %). Data used to create olivine and orthopyroxene fields collected from Kodolányi et al.12.