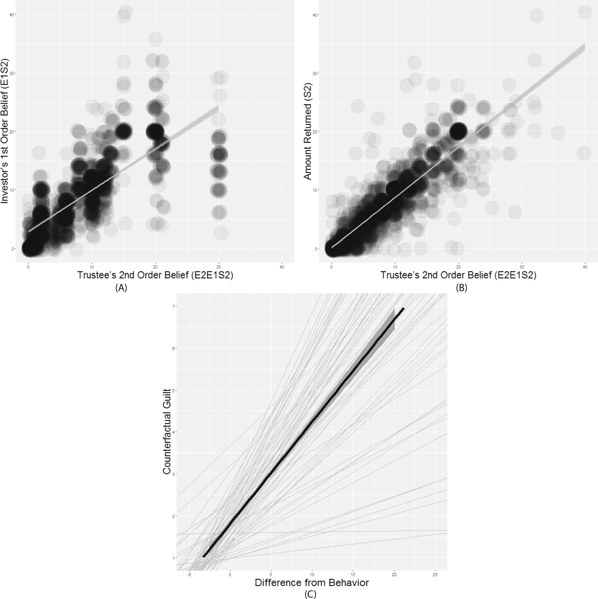
Figure 3

Relationships between performance measures. (A) Player 1’s 1st Order Belief (E1S2) by Player 2’s 2nd Order Belief (E2E1S2). (B) The amount returned by the Trustee (Player 2) (S2) by their 2nd Order Belief. (C) Player 2’s self-reported counterfactual guilt (the amount of guilt they would have felt had they returned less money) by the difference between their hypothetical choices from their actual behaviors. The dotted lines represent the participants’ best linear unbiased predictions (BLUPs).