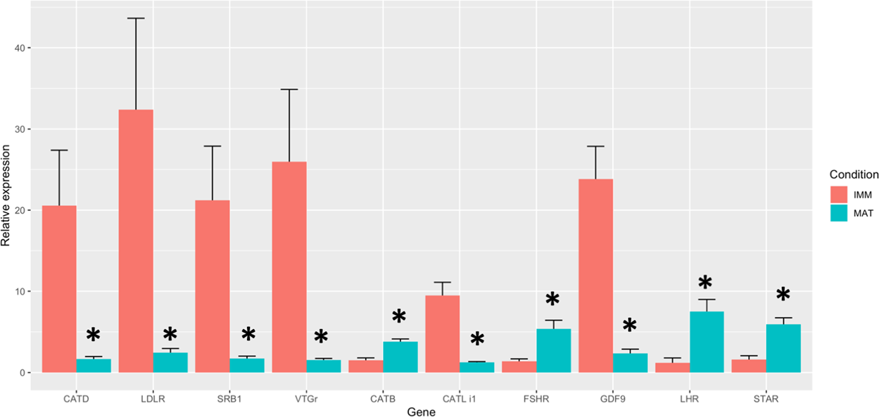
Figure 6

qPCR validation. Bar plot shows gene expression levels of key genes, measured by qPCR, involved in either the ovarian steroidogenesis or the vitellogenin uptake pathways. Significance between mature and immature ovaries for each gene is shown by an asterisk and standard error reported with error bars.