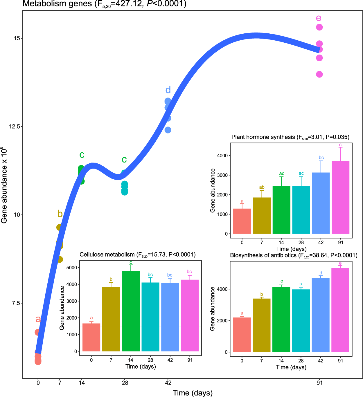
Figure 5

Changes in gene abundance of PICRUSt-predicted KEGG orthologies classified as “metabolism” in KEGG functional hierarchies during vermicomposting of the white grape marc Vitis vinifera v. Albariño. Individual values (n = 5) are plotted for each time point, and the curve was plotted using the “loess” smoothing method in ggplot252. The insets show changes in gene abundance of all PICRUSt-predicted enzyme-level genes for synthesis of plant hormones and antibiotics, and cellulose metabolism. Values are presented as means ± standard error (n = 5). Above each plot, results from mixed-effects models are shown. Significance was determined using ANOVA, and the relevant F statistic (F5,20) and significance (P) are shown.