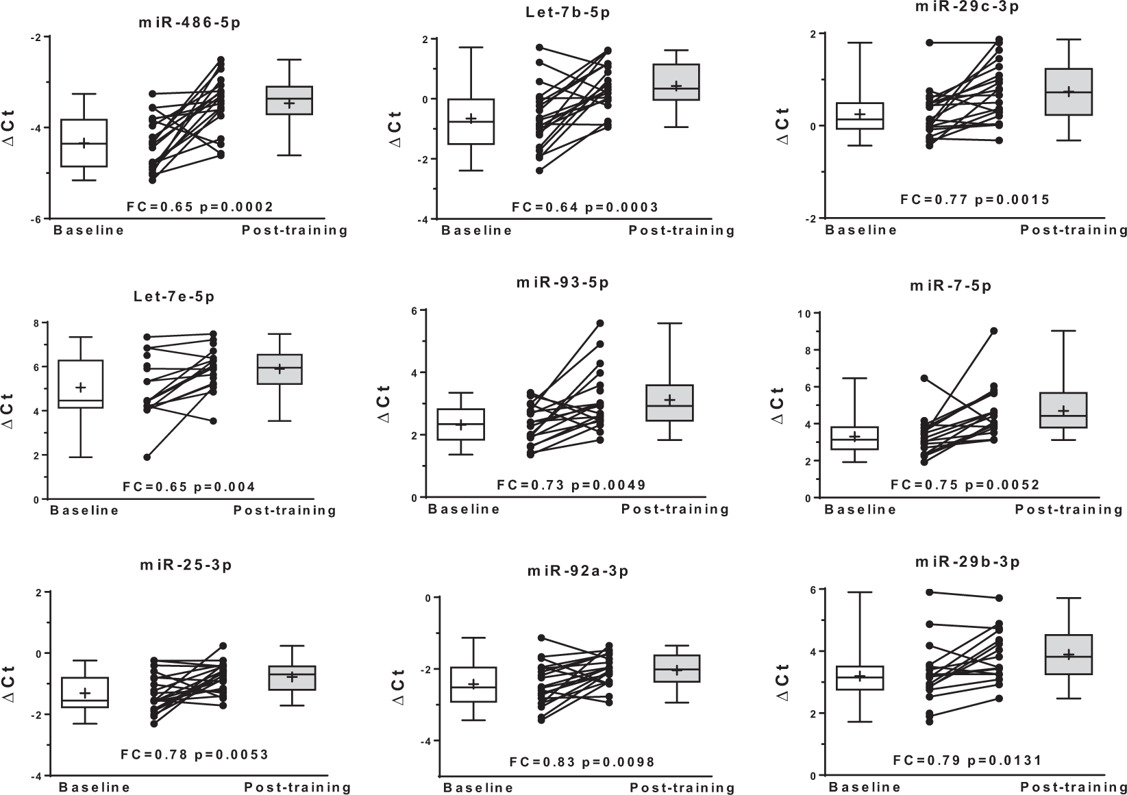
Figure 1
From: The Effects of Regular Exercise on Circulating Cardiovascular-related MicroRNAs

Baseline and post-training normalized cycle threshold values (ΔCt) along with individual exercise response for nine miRNAs with decreased circulating expression (higher ΔCt) following regular exercise. FC, fold change.