Figure 3

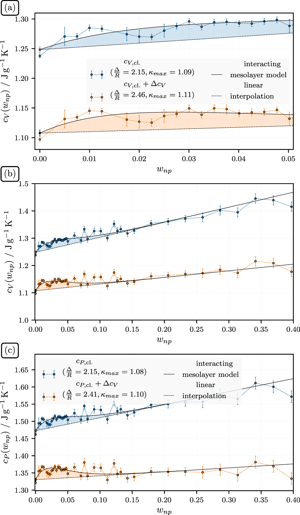
(a) and (b) Isochoric heat capacity, cV, of KNO3 doped with SiO2 vs. wnp, the weight fraction nanoparticles. (c) Isobaric heat capacity, cP, vs. wnp. The lines are discussed in the text.

(a) and (b) Isochoric heat capacity, cV, of KNO3 doped with SiO2 vs. wnp, the weight fraction nanoparticles. (c) Isobaric heat capacity, cP, vs. wnp. The lines are discussed in the text.