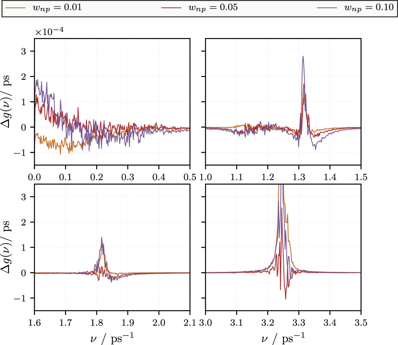
Figure 7

Difference spectral density, Δg(ω), vs. frequency, ν = ω/(2π), following ref.52 obtained for doped KNO3. Here the spectrum for neat KNO3 obtained under otherwise identical conditions is subtracted from the the velocity spectra of the doped systems.