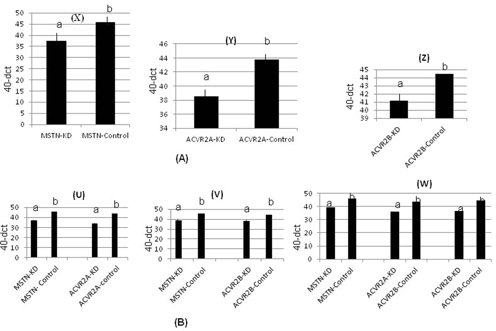
Figure 4

(A) The mRNA expression level in knock down and control birds. (X) MSTN knock down group where MSTN-KD denotes level of MSTN mRNA in MSTN knock down birds and MSTN-Control denotes level of MSTN mRNA in control birds. (Y) ACVR2A knock down group where ACVR2A-KD denotes level of ACVR2A mRNA in ACVR2A knock down birds and ACVR2A-Control denotes level of ACVR2A mRNA in control birds. (Z) ACVR2B knock down group where ACVR2B-KD denotes level of ACVR2B mRNA in ACVR2B knock down birds and ACVR2B-Control denotes level of ACVR2B mRNA in control birds. Different superscripts indicate significance at P < 0.05. (B) The mRNA expression level in knock down and control birds. (U) Double knock down (MSTN & ACVR2A) group where MSTN-KD denotes level of MSTN mRNA in double knock down birds; MSTN-Control denotes level of MSTN mRNA in control birds; ACVR2A-KD denotes level of ACVR2A mRNA in double knock down birds and ACVR2A-Control denotes level of ACVR2A mRNA in control birds. (V) Double knock down (MSTN & ACVR2B) group where MSTN-KD denotes level of MSTN mRNA in double knock down birds; MSTN-Control denotes level of MSTN mRNA in control birds; ACVR2B-KD denotes level of ACVR2B mRNA in double knock down birds and ACVR2B-Control denotes level of ACVR2B mRNA in control birds. (W) Tripple knock down (MSTN, ACVR2A & ACVR2B) group where MSTN-KD denotes level of MSTN mRNA in tripple knock down birds; MSTN-Control denotes level of MSTN mRNA in control birds, ACVR2A-KD denotes level of ACVR2A mRNA in tripple knock down birds and ACVR2A-Control denotes level of ACVR2A mRNA in control birds; ACVR2B-KD denotes level of ACVR2B mRNA in tripple knock down birds and ACVR2B-Control denotes level of ACVR2B mRNA in control birds. Different superscripts indicate significance at P < 0.05.