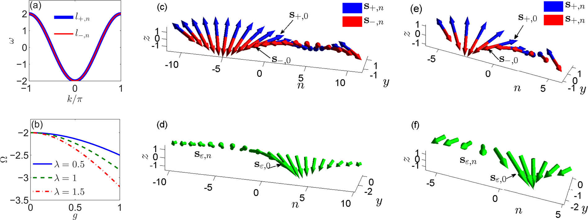
Figure 2

(a) Dispersion relation: energy ω against wave vector k for transmission modes l+,n (solid blue) and l−,n (solid red). (b) Eigenenergy Ω of the strong localized mode against localization grade g for miscibility parameter λ taking 0.5 (solid blue), 1 (dashed green), and 1.5 (dash-dotted red), respectively. (c,e) Spin texture of the transmission modes: \({{\bf{s}}}_{+,n}={l}_{+,n}^{\dagger }{\boldsymbol{\sigma }}{l}_{+,n}\) (blue) and \({{\bf{s}}}_{-,n}={l}_{-,n}^{\dagger }{\boldsymbol{\sigma }}{l}_{-,n}\) (red), where a = π/4 and b = π/2, thus s±,0 directing ± (ex + ey). (d,f) Spin texture of the localized mode: \({{\bf{s}}}_{\varepsilon ,n}={d}_{n}^{\dagger }{\boldsymbol{\sigma }}{d}_{n}\), where Ω = −2.01, making the spatial decay rate κ = 0.9049, and ε = π/4, thus sε,0 directing ex − ey. In (c–f), we see the rotation of spin orientation with y-axis for changing n, which is adjustable by the SOC parameter α. In (c,d), we assign α = π/20, such that the spin orientation recovers after the site changes by Δn = π/α = 20, while, in (e,f), α = π/10 such that the recovery of spin orientation requires Δn = π/α = 10.