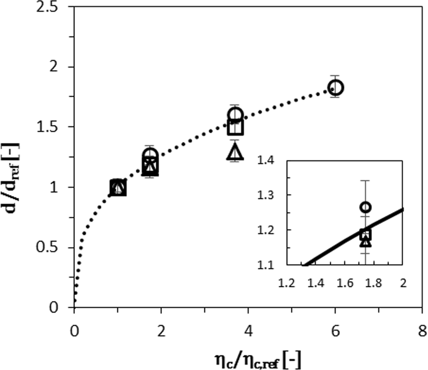
Figure 5

The normalised droplet size (d/dref), versus the normalised viscosity of the continuous phase (ηc/ηref) for PE 5 devices, and dispersed phases of silicon oil (∆) (50 mPa s), hexadecane (○) (3.5 mPa s) and decane (□) (0.92 mPa s). Dashed line indicates the theory as described in the text.