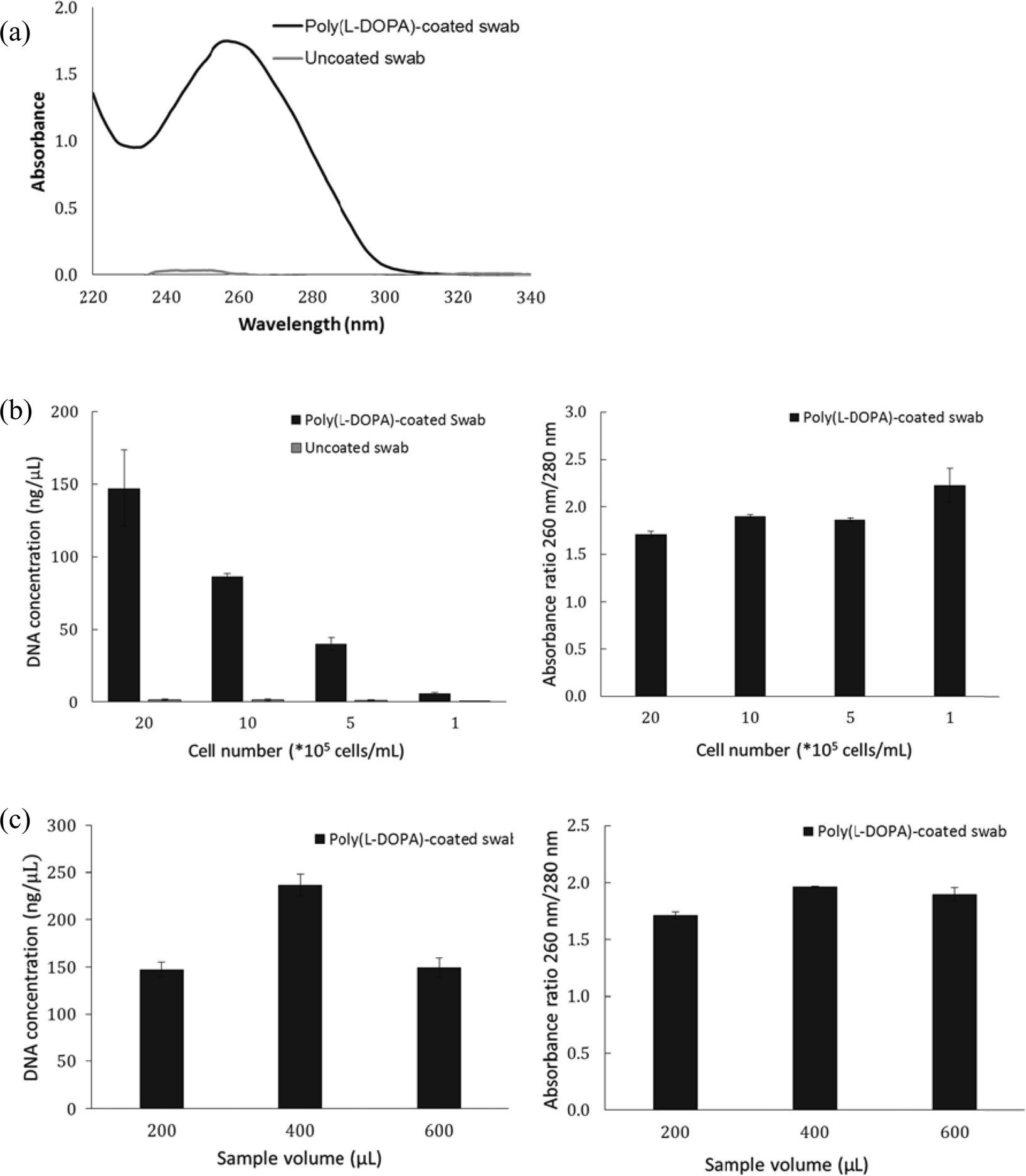
Figure 3

DNA isolation using poly(L-DOPA)-coated swab. (a) UV-vis absorbance spectra of isolated DNA using poly(L-DOPA)-coated swab and uncoated swab. The isolated DNA amounts (left) and its absorbance ratios of 260 nm/280 nm (right) according to (b) initial cell number and (c) initial sample volume.