Figure 2
From: Field Angle Tuned Metamagnetism and Lifschitz Transitions in UPt3

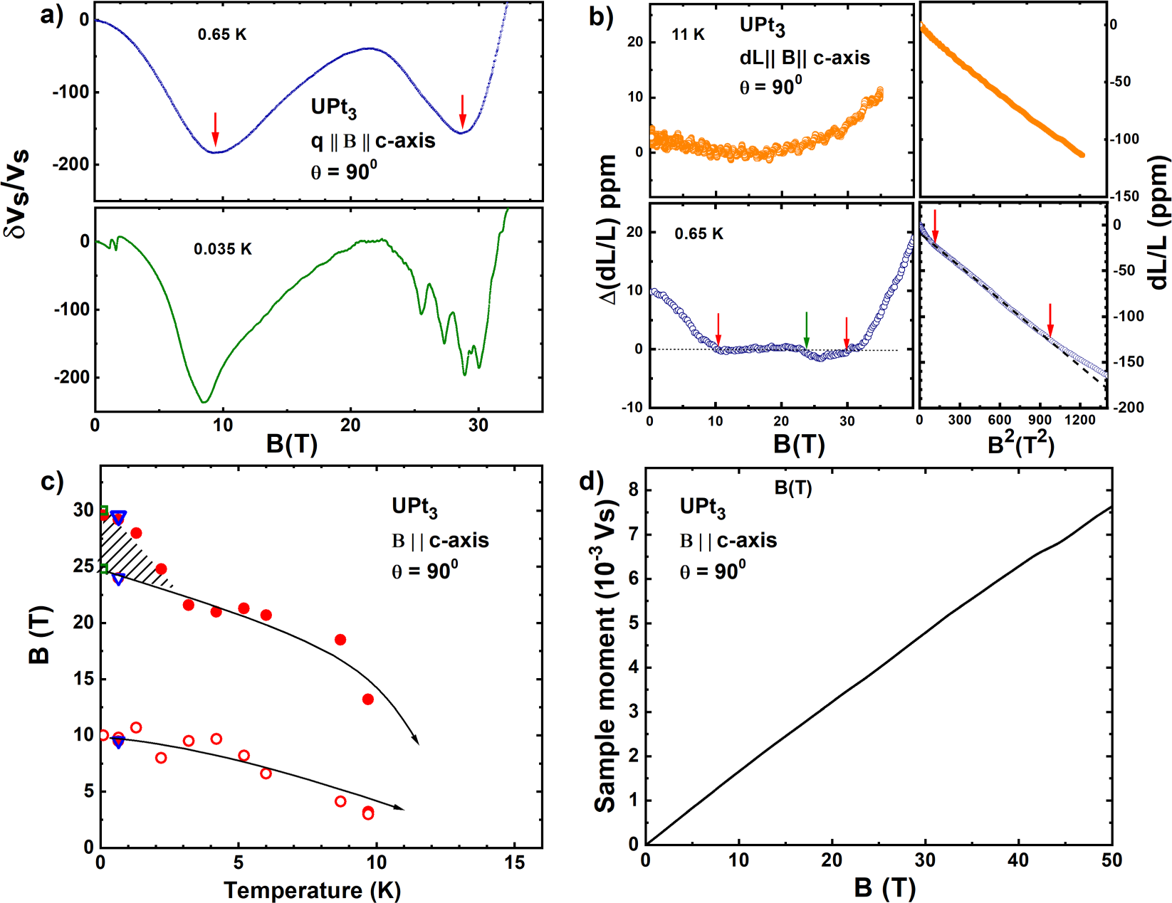
Shown in the top left (panel (a)) are the changes from zero field value in the velocity of longitudinal ultrasound propagating in UPt3 along the c-axis with B ∥c. Two dips in the sound velocity at 9 T and 30 T are clearly seen. Also visible in the 35 mK data are magneto acoustic quantum oscillations. Panel (b) shows on the right the as measured length changes for B ∥ c plotted against B2. A clear departure from linearity is seen around B = 30 T for the 0.65 K run. The left side of this panel, for T = 0.65 K, shows the same data with the quadratic background removed to highlight features at 9 T and 30 T (red arrows). A smaller feature at 24 T (green arrow) is also apparent. The bottom left panel (c) shows the phase diagram obtained from isothermal velocity scans such as those shown in (a). The triangles at 30 T, 24 T and 9 T are from the magnetostriction measurement. The two US minima shift to lower magnetic fields as the temperature increases and appear to reach zero on a scale consistent with the temperature where a peak in the sound attenuation has been observed39,40. Also note the sudden upturn in the high field state for T < 4 K and the hatched sliver in the phase diagram. The open square at 25 T marks the onset (for T = 35 mK) of the large MAQO. Although clear signatures of the high field transitions are visible in the ultrasound velocity the magnetization measured (bottom right panel (d)) is continuous across 30 T.