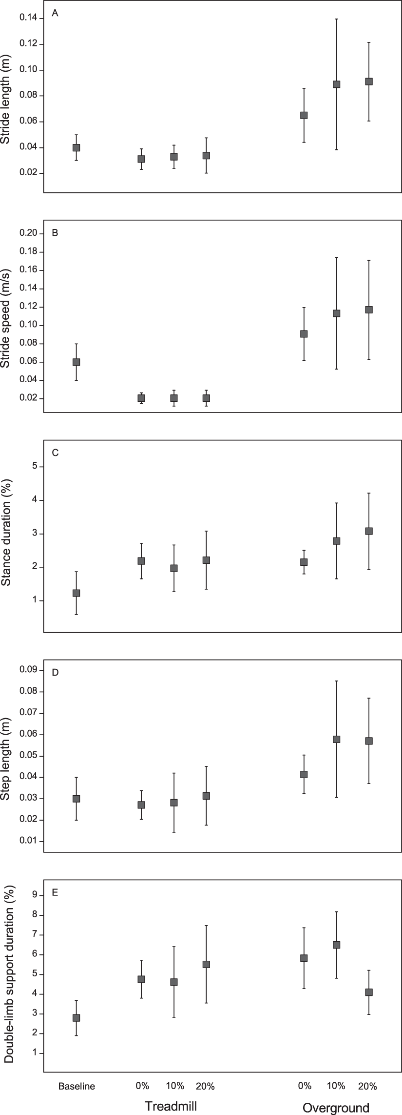
Figure 2

Mean and standard deviations for variability in stride length (A), stride speed (B), percentage of stance duration (C), step length (D), and percentage of total double-limb support (E) at the baseline, 0%, 10%, and 20% of BWS on both treadmill and over the ground. Note: data from baseline are presented only as reference values.