Figure 6

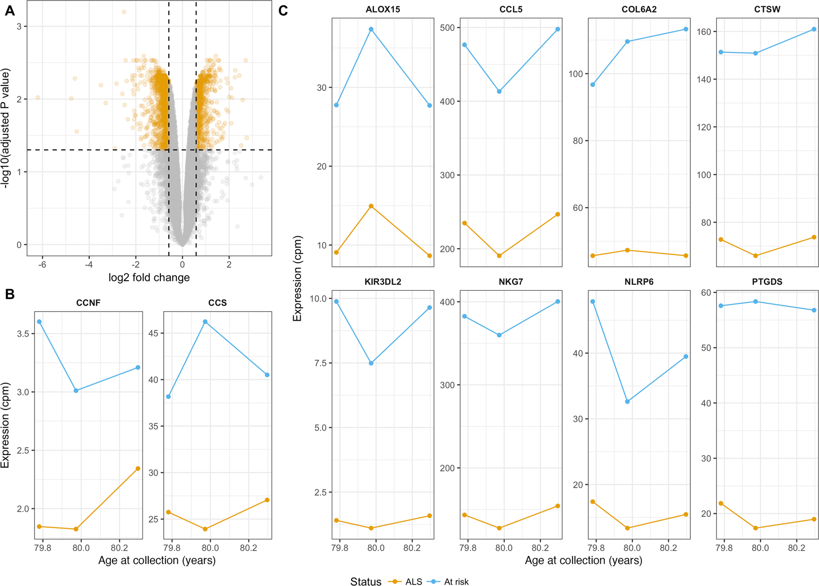
Genes that showed consistent longitudinal differential expression in SALS twins included known ALS genes. (A) Seven hundred and fifty genes were identified as differentially expressed with a minimum fold change of 1.5 (vertical lines) and significant FDR-corrected p-value (horizontal line) in the male SALS twins. (B) Expression of two previously reported ALS genes, CCNF and CCS, identified as differentially expressed in male SALS twins. Gene expression is shown for all three collections in each twin. (C) Expression of the top 8 genes (as ranked by limma) are shown for all three longitudinal collections of the male SALS twins.