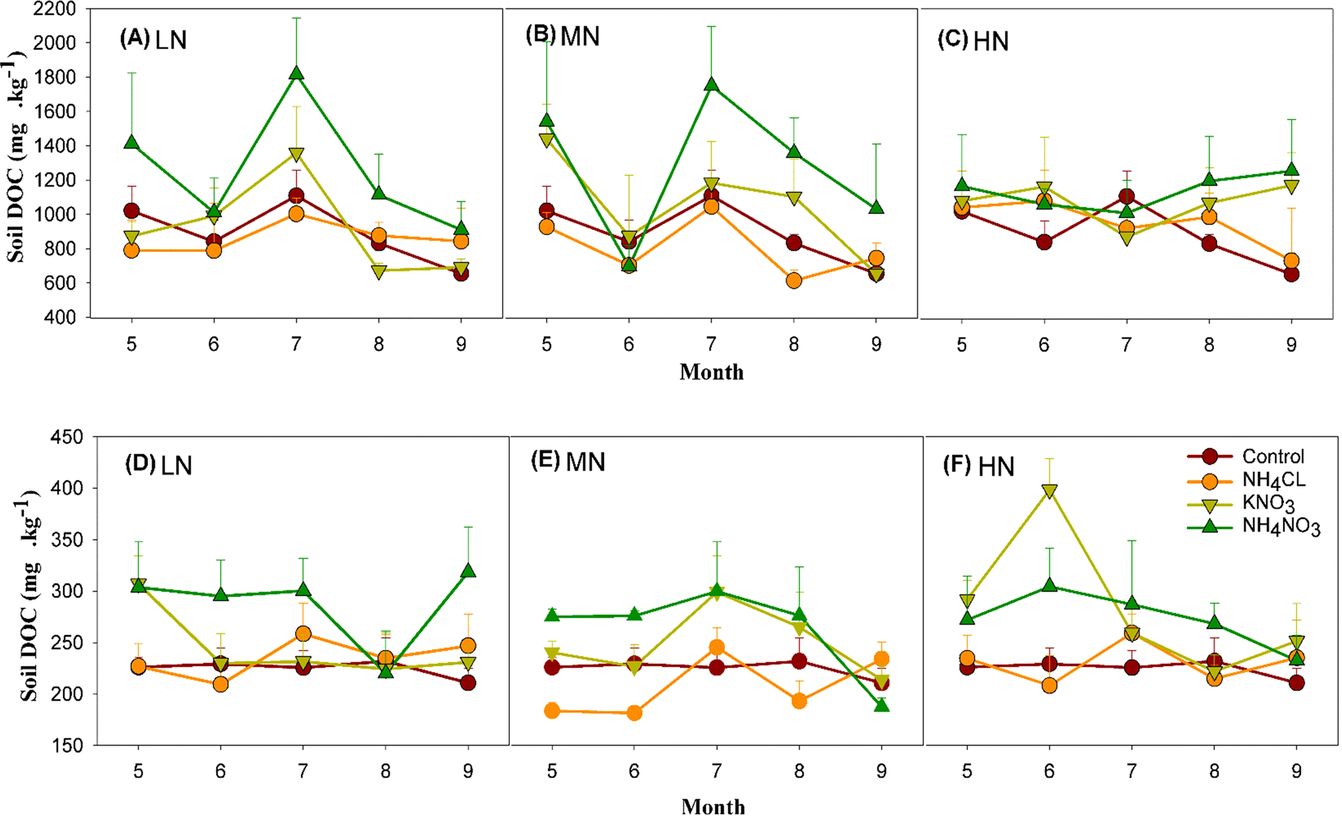
Figure 3
From: The effects of nitrogen addition on dissolved carbon in boreal forest soils of northeastern China

Monthly variations of mean ± 1 std. dev. of DOC under the different N type and N level treatments of the organic layer (A–C) and mineral layer (D–F) during the growing season (May to September) of 2010. LN = low-level N addition, MN = middle-level N addition and HN = high-level N addition (n = 3). Data collected over the 2010 growing season (May-September) at the Kailaqi farm of Genhe Forestry Bureau, located in the northern Great Xin’an mountain range, northern China.