Figure 6
From: A new analytical model for flow in acidized fractured-vuggy porous media

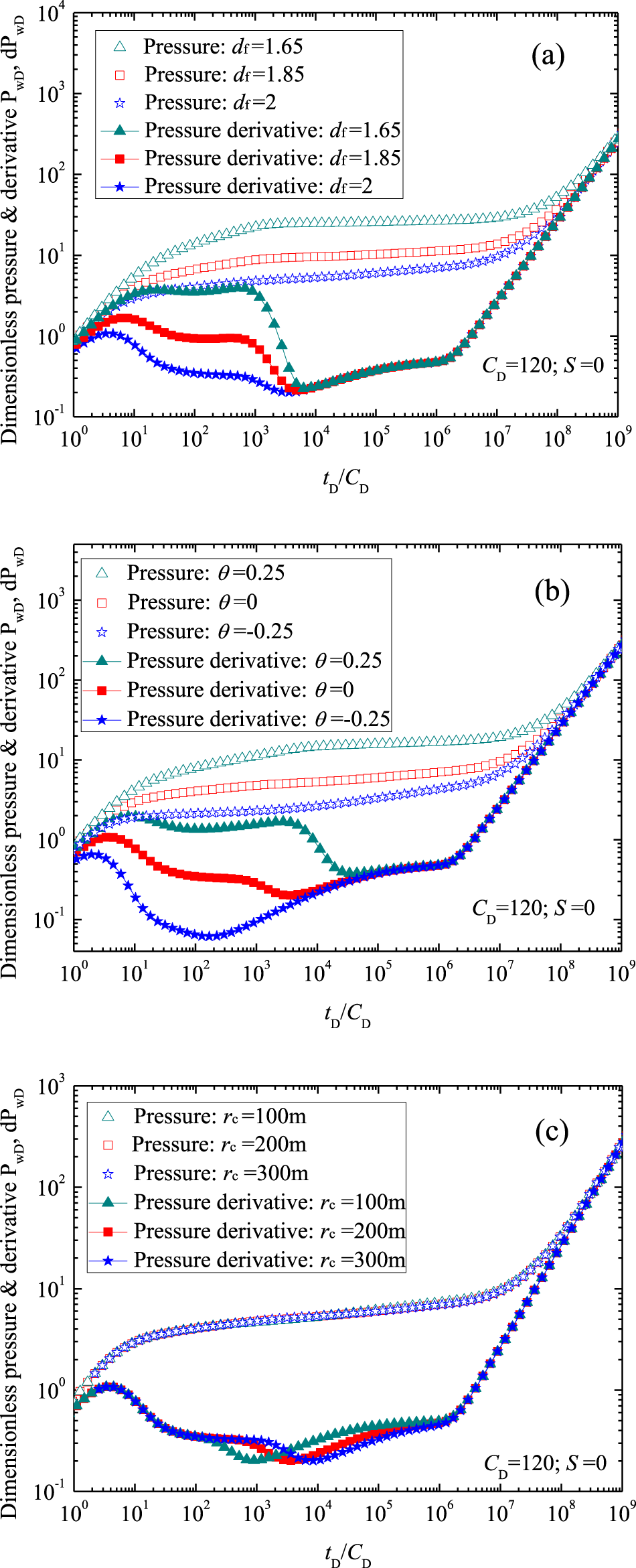
Effects of parameters of inner region on the well testing curves: (a) for inner region fractal dimension; (b) for inner region connectivity index; (c) for parameter rc.