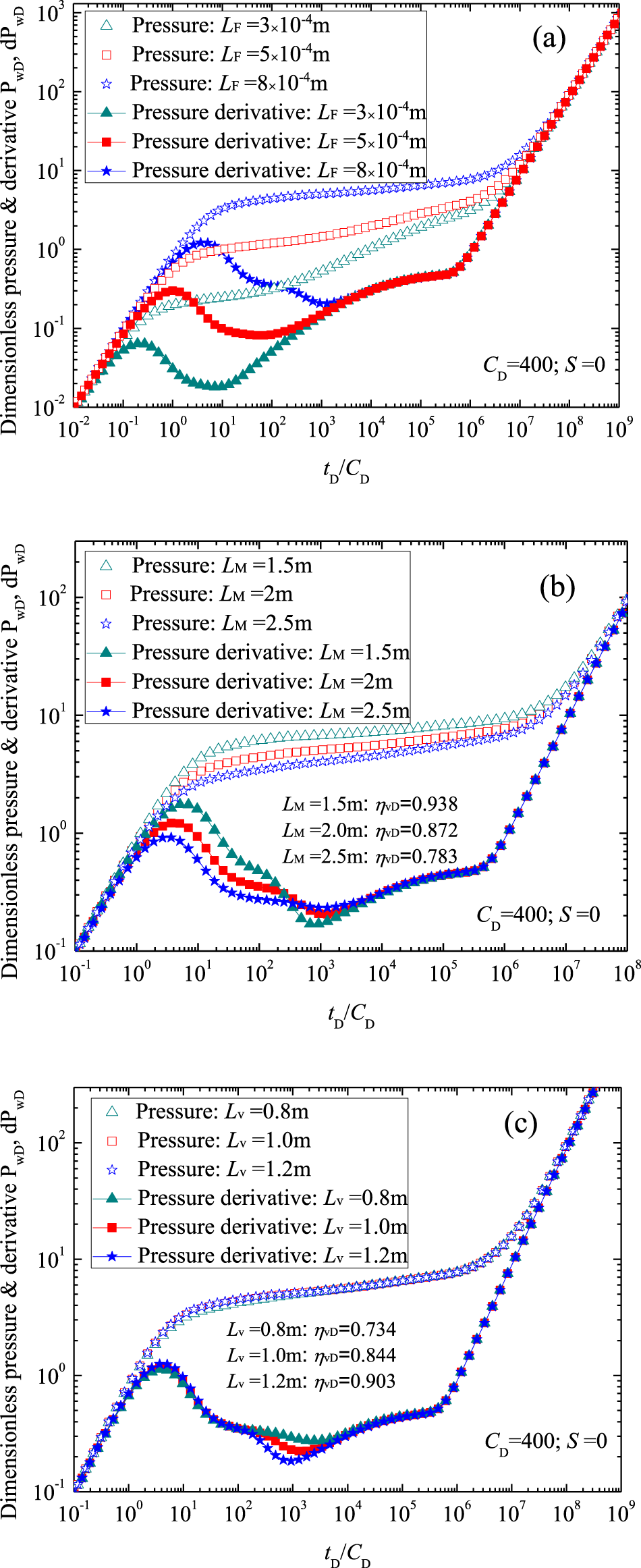
Figure 7
From: A new analytical model for flow in acidized fractured-vuggy porous media

Effect of basic parameters in outer region on the dimensionless wellbore pressure: (a) for the space interval of fracture in outer region; (b) for the matrix block size in outer region; (c) for the radius of the vug in outer region.