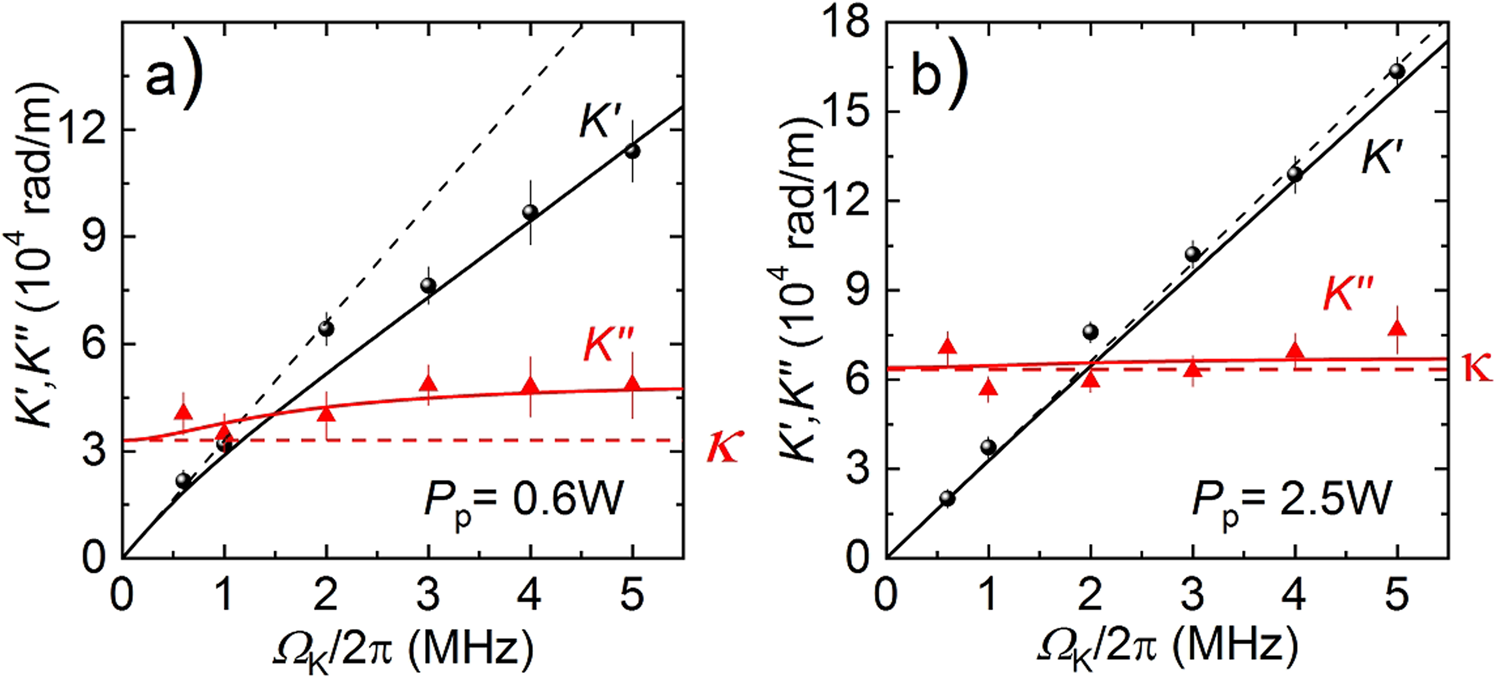
Figure 3
From: Excitation of coherent second sound waves in a dense magnon gas

Dispersion of the magnonic second sound at two values of the pumping power (a) below (Pp = 0.5 W) and (b) above (Pp = 2.5 W) the BEC transition (PthBEC = 1 W). Black and red symbols are the experimental data for the real and imaginary parts of the magnonic sound wavenumber. Solid lines are the best theoretical fits using Eqs (3), (4). Black dashed lines show the linear dispersion with constant sound velocity.