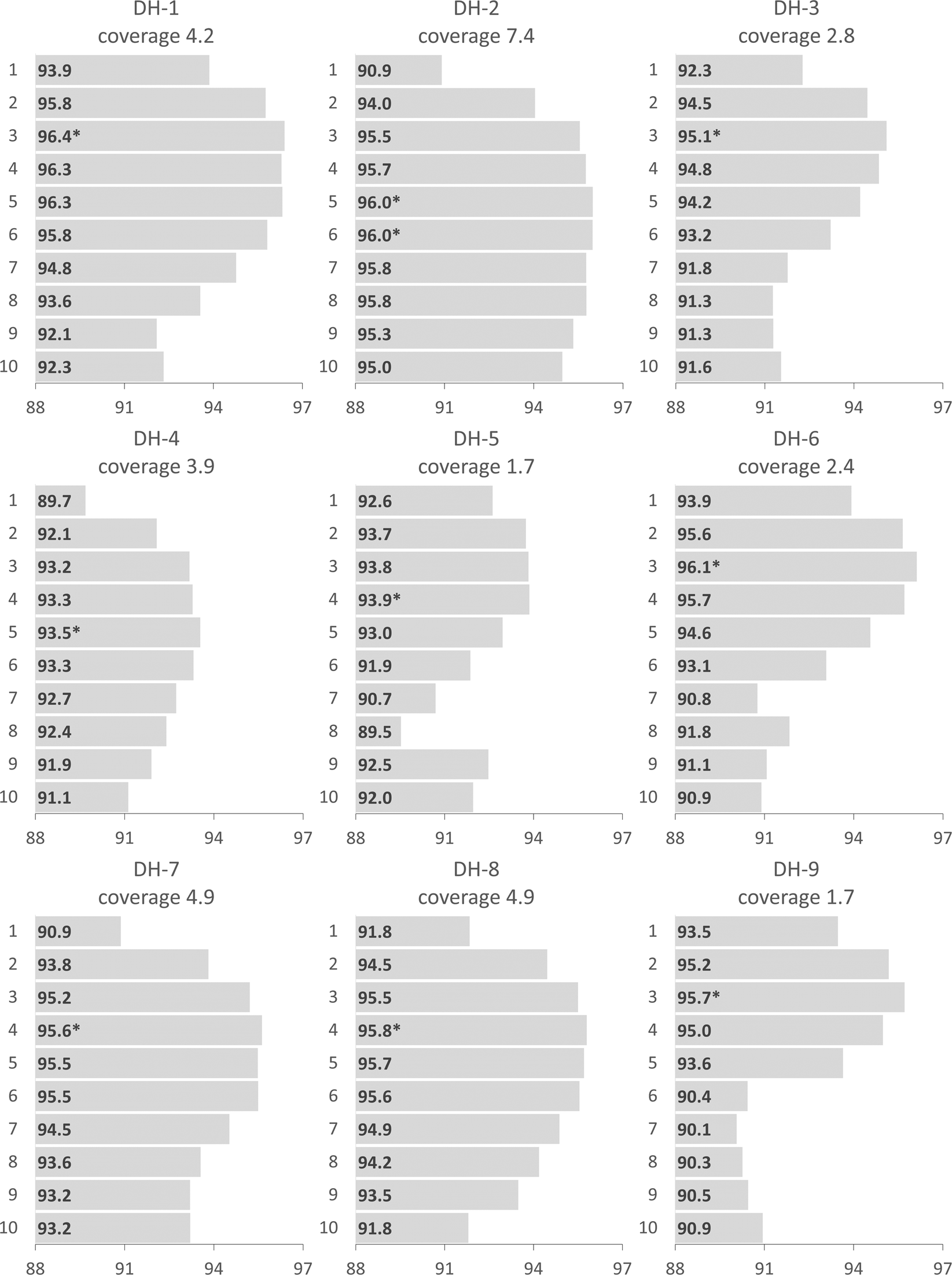
Figure 3

Percentage of accurate genotype calls based on the number of supporting reads. The optimal number of supporting reads is marked with an asterisk (*).

Percentage of accurate genotype calls based on the number of supporting reads. The optimal number of supporting reads is marked with an asterisk (*).