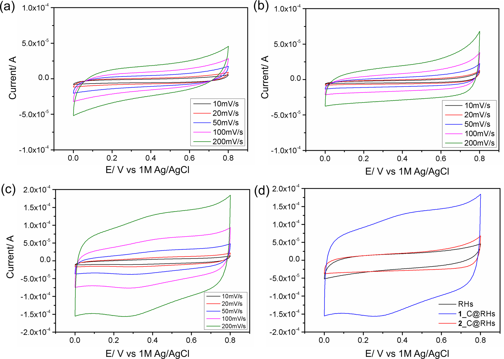
Figure 6

CV curves in 2 M KCl solution scanning from 0 to 0.8 V with scan rates of 10, 20, 50, 100 and 200 mV/s of (a) RHs, (b) 2_C@RHs and (c) 1_C@RHs, and (d) merged CV curves of all samples at scan rates of 200 mVs−1, Ag/AgCl (1 M KCl) electrode was used as reference.