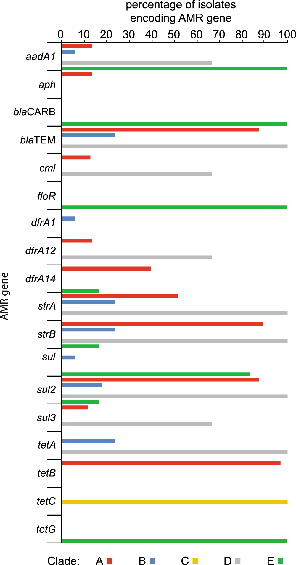
Figure 2

Distribution of antimicrobial resistance genes in the S. Typhimurium phylogenetic clades. Bars indicate the percentage of the isolates that encode each resistance gene. Clades correspond to those in Fig. 1. Clade A: S. 4,[5],12:i:- (n = 104), Clade B: S. Typhimurium (n = 17); clade C: S. Typhimurium (n = 7); clade D: S. Typhimurium U288 (n = 3); clade E: S. Typhimurium DT104 (n = 6). Genes identified were aadA1/aadA2: aminoglycosides resistance gene; aph: aminoglycosides resistance gene; blaCARB: carbenicillin resistance; blaTEM: penicillins/early cephalosporins resistance; cmI: chloramphenicol resistance; floR: florfenicol/chloramphenicol resistance gene; dfrA1/dfrA12/dfrA14: trimethoprim resistance; strA/strB: streptomycin resistance genes; sul1/sul2/sul3: sulphonamide resistance genes; tetA/tetB/tetC/tetG: tetracycline resistance; mefA/mefB: macrolide, lincosamide and streptogramin B resistance; msrD: macrolide resistance; qacEDelta1/qacH: quaternary ammonium compounds.