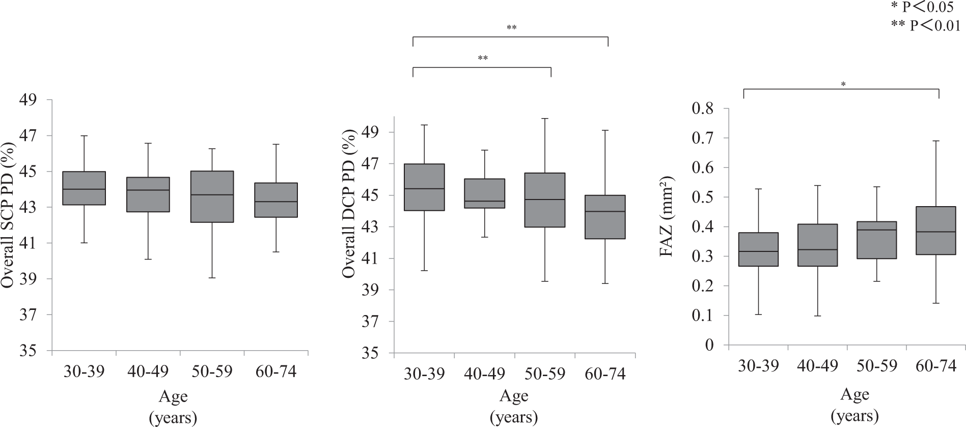
Figure 2

SCP and DCP PD and FAZ in the four groups classified by age. There was no significant difference in SCP PD between the four groups (left). DCP PD was lower in the 50–59 YO group and the 60–74 YO group than in the 30–39 YO group (P < 0.01 and P < 0.01, respectively; center). FAZ area in the SCP was larger in the 60–74 YO group than in the 30–39 YO group (P = 0.04; right).