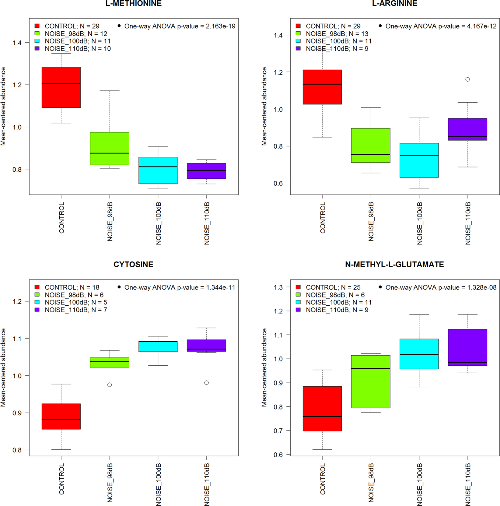
Figure 3
From: Auditory metabolomics, an approach to identify acute molecular effects of noise trauma

Intensity-dependent effects of noise on metabolite levels. The box-and-whisker plots illustrate that metabolic changes in the inner ear depend on the intensity of the sound presented (2 hours, 8–16 kHz band).