Figure 4
From: Auditory metabolomics, an approach to identify acute molecular effects of noise trauma

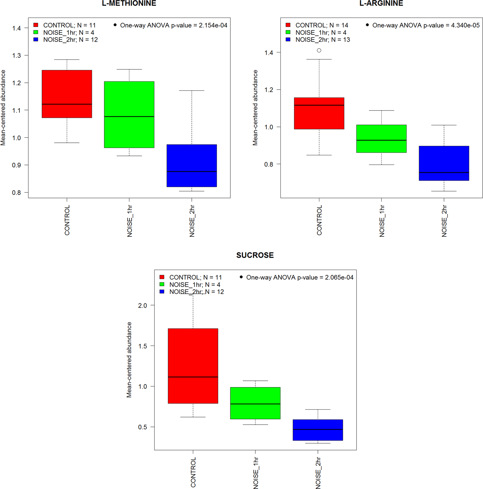
Duration-dependent effects of noise on metabolite levels. The box-and-whisker plots illustrate that metabolic changes in the inner ear depend on the duration of the exposure (98 dB SPL, 8–16 kHz band).